Multi-layer case

Turning to the 3D multi-layer case with $n+1$ layers, we have

$\displaystyle \frac{\partial^2 t}{\partial h_x^2}$ $\displaystyle = \frac{\partial^2 t_n}{\partial h_x^2} +
\frac{\partial^2 t_n}{\...
...c{\partial^2 t_n}{\partial h_x\partial y_n} \frac{\partial y_n}{\partial h_x}~,$ (71)
$\displaystyle \frac{\partial^2 t}{\partial h_y^2}$ $\displaystyle = \frac{\partial^2 t_n}{\partial h_y^2} +
\frac{\partial^2 t_n}{\...
...c{\partial^2 t_n}{\partial h_y\partial y_n} \frac{\partial y_n}{\partial h_y}~,$    
$\displaystyle \frac{\partial^2 t}{\partial h_x \partial h_y}$ $\displaystyle = \frac{\partial^2 t_n}{\partial h_x\partial h_y} +
\frac{\partia...
...{\partial^2 t_n}{\partial h_x \partial y_n} \frac{\partial y_n}{\partial h_y}~,$    
  $\displaystyle = \frac{\partial^2 t_n}{\partial h_x\partial h_y} +
\frac{\partia...
...{\partial^2 t_n}{\partial h_y \partial y_n} \frac{\partial y_n}{\partial h_x}~,$    

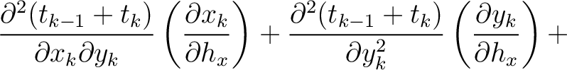
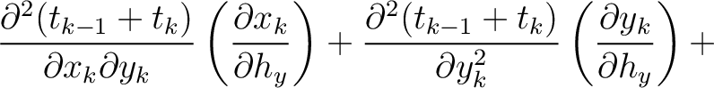
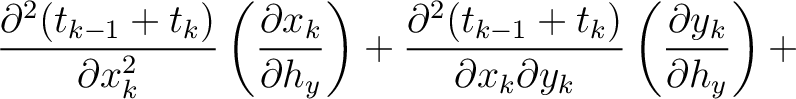
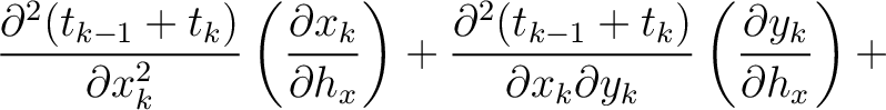
where we need to find $\partial x_n/\partial h_x$, $\partial x_n/\partial h_y$, $\partial y_n/\partial h_x$, and $\partial y_n/\partial h_y$ from differentiating the Fermat's principle similar to the previous 2D case. The general form of the linear system of equations at the $k$-th interface can be written as

$\displaystyle 0 =$ $\displaystyle \frac{\partial^2 t_{k-1}}{\partial x_{k-1} \partial x_k} \left( \...
...ial y_{k-1} \partial x_k} \left( \frac{\partial y_{k-1}}{\partial h_x}\right) +$ (72)
  $\displaystyle \frac{\partial^2 (t_{k-1} + t_k)}{\partial x_k^2} \left( \frac{\p...
...)}{\partial x_k \partial y_k} \left( \frac{\partial y_k}{\partial h_x}\right) +$    
  $\displaystyle \frac{\partial^2 t_k}{\partial x_k \partial x_{k+1}}\left( \frac{...
...tial x_k \partial y_{k+1}}\left( \frac{\partial y_{k+1}}{\partial h_x}\right)~,$    
$\displaystyle 0 =$ $\displaystyle \frac{\partial^2 t_{k-1}}{\partial x_{k-1} \partial x_k} \left( \...
...ial y_{k-1} \partial x_k} \left( \frac{\partial y_{k-1}}{\partial h_y}\right) +$    
  $\displaystyle \frac{\partial^2 (t_{k-1} + t_k)}{\partial x_k^2} \left( \frac{\p...
...)}{\partial x_k \partial y_k} \left( \frac{\partial y_k}{\partial h_y}\right) +$    
  $\displaystyle \frac{\partial^2 t_k}{\partial x_k \partial x_{k+1}}\left( \frac{...
...tial x_k \partial y_{k+1}}\left( \frac{\partial y_{k+1}}{\partial h_y}\right)~,$    
$\displaystyle 0 =$ $\displaystyle \frac{\partial^2 t_{k-1}}{\partial x_{k-1} \partial y_k} \left( \...
...ial y_{k-1} \partial y_k} \left( \frac{\partial y_{k-1}}{\partial h_x}\right) +$    
  $\displaystyle \frac{\partial^2 (t_{k-1} + t_k)}{\partial x_k \partial y_k} \lef...
...{k-1} + t_k)}{\partial y_k^2} \left( \frac{\partial y_k}{\partial h_x}\right) +$    
  $\displaystyle \frac{\partial^2 t_k}{\partial y_k \partial x_{k+1}}\left( \frac{...
...tial y_k \partial y_{k+1}}\left( \frac{\partial y_{k+1}}{\partial h_x}\right)~,$    
$\displaystyle 0 =$ $\displaystyle \frac{\partial^2 t_{k-1}}{\partial x_{k-1} \partial y_k} \left( \...
...ial y_{k-1} \partial y_k} \left( \frac{\partial y_{k-1}}{\partial h_y}\right) +$    
  $\displaystyle \frac{\partial^2 (t_{k-1} + t_k)}{\partial x_k \partial y_k} \lef...
...{k-1} + t_k)}{\partial y_k^2} \left( \frac{\partial y_k}{\partial h_y}\right) +$    
  $\displaystyle \frac{\partial^2 t_k}{\partial y_k \partial x_{k+1}}\left( \frac{...
...tial y_k \partial y_{k+1}}\left( \frac{\partial y_{k+1}}{\partial h_y}\right)~,$    
     

where $k = 1, \dots, n$ for a medium with $n+1$ layers. The source at ($x_0$, $y_0$) is fixed and therefore, $\partial x_0/\partial h_x = \partial x_0/\partial h_y = \partial y_0/\partial h_x = \partial y_0/\partial h_y$ = 0. Moreover, the receiver is located at ($x_{n+1}$, $y_{n+1}$) = ($h_x + x_0$, $h_y + y_0$), which leads to $\partial x_{n+1}/\partial h_x = \partial y_{n+1}/\partial h_y = 1$ and $\partial y_{n+1}/\partial h_x = \partial x_{n+1}/\partial h_y = 0$.

Looking closer at equation (72), we can see that at the first interface ($k=1$), we have four equations with eight unknowns: $\partial x_1/\partial h_x$, $\partial x_1/\partial h_y$, $\partial y_1/\partial h_x$, $\partial y_1/\partial h_y$, $\partial x_2/\partial h_x$, $\partial x_2/\partial h_y$, $\partial y_2/\partial h_x$, and $\partial y_2/\partial h_y$, which is different from the two-layer case in equation (70) that only has four unknowns. In our previous consideration of 2D media (Appendix B), we show that this problem can be circumvented by considering the ratio $r_k$ (equation (54)) and formulating a recursive formula. However, it is not immediately apparent how the same strategy can be applied to the system of equations (72) for the 3D media. Therefore, future investigations are required to properly handle this problem and come up with an efficient implementation scheme to analyze influences from lateral heterogeneity on time-processing parameters in 3D media. For example, we may choose to adopt the same strategy as in Appendix D that would allows us to rely on equation (70) and approximately sum individual contributions. Finally, we note that the pertaining one-way traveltime derivatives in each layer — another ingredient apart from the recursive formula— can simply be obtained by extending equations (4), (13), and (14) to 3D to also account for the $y$- direction.


2024-07-04