Multi-layer case

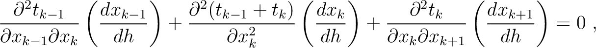
Looking closer at equations (48) and (49), we can observe that for each condition at the $k$-th interface, there are generally three terms:

$\displaystyle \frac{\partial^2 t_{k-1}}{\partial x_{k-1} \partial x_k} \left( \...
...^2 t_k}{\partial x_k \partial x_{k+1}}\left( \frac{d x_{k+1}}{d h}\right) = 0~,$ (52)

where $k = 1, \dots, n$ for a medium with $n+1$ layers. The source at $x_0$ is fixed and therefore, $dx_0/dh = 0$. Moreover, the receiver is located at $x_{n+1} = h + x_0$, which leads to $dx_{n+1}/dh = 1$. Therefore, we can derive the following set of equations in the general case of multi-layer media:

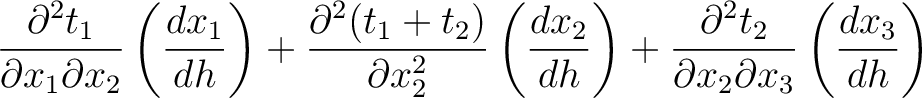
$\displaystyle \frac{\partial^2 (t_0 + t_1)}{\partial x_1^2} \left( \frac{d x_1}...
...frac{\partial^2 t_1}{\partial x_1 \partial x_2} \left( \frac{d x_2}{d h}\right)$ $\displaystyle = 0~,$ (53)
$\displaystyle \frac{\partial^2 t_{1}}{\partial x_{1} \partial x_2} \left( \frac...
...c{\partial^2 t_2}{\partial x_2 \partial x_{3}}\left( \frac{d x_{3}}{d h}\right)$ $\displaystyle = 0~,$    
  $\displaystyle \;\;\vdots$    
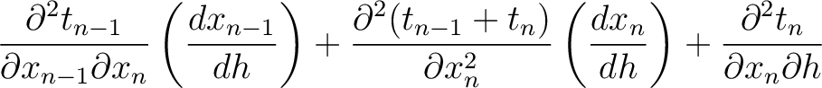
$\displaystyle \frac{\partial^2 t_{n-1}}{\partial x_{n-1} \partial x_n} \left( \...
...left( \frac{d x_n}{d h}\right) + \frac{\partial^2 t_n}{\partial x_n \partial h}$ $\displaystyle = 0~,$    

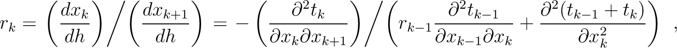
which leads to the recursive formula

$\displaystyle r_k = \left. \left( \frac{d x_k}{d h}\right) \middle/ \left( \fra...
...tial x_k} + \frac{\partial^2 (t_{k-1} + t_k)}{\partial x_k^2} \right)\right. ~,$ (54)

where $r_0 = 0$ due to $dx_0/dh = 0$. This newly developed equation is an exact extension of the two-layer case result (equation (42)) to the multi-layer case and is similar to equation (12) in the main text.


2024-07-04