Two-layer case

Let us first consider the two-layer setup. In our notation, the total one-way traveltime in a 3D medium is equal to

$\displaystyle t = t_0(x_0,y_0,x_1(h_x,h_y),y_1(h_x,h_y)) + t_1(x_1(h_x,h_y),y_1(h_x,h_y),x_2(h_x),y_2(h_y))~,$ (67)

where $h_x = x_2-x_0$ and $h_y = y_2-y_0$. Equation (67) is the 3D version of equation (37). We can proceed along the same line as before and differentiate equation (67) to obtain

$\displaystyle \frac{\partial^2 t}{\partial h_x^2}$ $\displaystyle = \frac{\partial^2 t_1}{\partial h_x^2} +
\frac{\partial^2 t_1}{\...
...c{\partial^2 t_1}{\partial h_x\partial y_1} \frac{\partial y_1}{\partial h_x}~,$ (68)
$\displaystyle \frac{\partial^2 t}{\partial h_y^2}$ $\displaystyle = \frac{\partial^2 t_1}{\partial h_y^2} +
\frac{\partial^2 t_1}{\...
...c{\partial^2 t_1}{\partial h_y\partial y_1} \frac{\partial y_1}{\partial h_y}~,$    
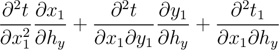
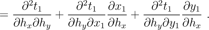
$\displaystyle \frac{\partial^2 t}{\partial h_x \partial h_y}$ $\displaystyle = \frac{\partial^2 t_1}{\partial h_x\partial h_y} +
\frac{\partia...
...{\partial^2 t_1}{\partial h_x \partial y_1} \frac{\partial y_1}{\partial h_y}~,$    
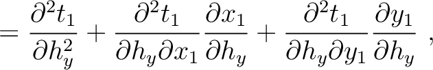
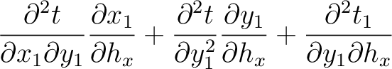
  $\displaystyle = \frac{\partial^2 t_1}{\partial h_x\partial h_y} +
\frac{\partia...
...{\partial^2 t_1}{\partial h_y \partial y_1} \frac{\partial y_1}{\partial h_x}~.$    

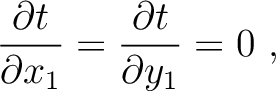
We can see from equation equation (68) that for 3D media, we need to find four derivatives (as opposed to only one in 2D media) in order to relate the traveltime derivatives from one surface to another. To find these four derivatives including $\partial x_1/\partial h_x$, $\partial x_1/\partial h_y$, $\partial y_1/\partial h_x$, and $\partial y_1/\partial h_y$, we differentiate the Fermat's condition for 3D medium:

$\displaystyle \frac{\partial t}{\partial x_1} = \frac{\partial t}{\partial y_1} = 0~,$ (69)

with respect to $h_x$ and $h_y$, which leads to the following four conditions:

$\displaystyle \frac{\partial^2 t}{\partial x_1^2 } \frac{\partial x_1}{\partial...
...{\partial y_1}{\partial h_x} +
\frac{\partial^2 t_1}{\partial x_1 \partial h_x}$ $\displaystyle = 0~,$ (70)
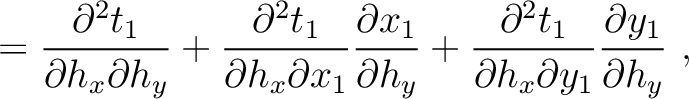
$\displaystyle \frac{\partial^2 t}{\partial x_1^2 } \frac{\partial x_1}{\partial...
...{\partial y_1}{\partial h_y} +
\frac{\partial^2 t_1}{\partial x_1 \partial h_y}$ $\displaystyle = 0~,$    
$\displaystyle \frac{\partial^2 t}{\partial x_1 \partial y_1 } \frac{\partial x_...
...{\partial y_1}{\partial h_x} +
\frac{\partial^2 t_1}{\partial y_1 \partial h_x}$ $\displaystyle = 0~,$    
$\displaystyle \frac{\partial^2 t}{\partial x_1 \partial y_1 } \frac{\partial x_...
...{\partial y_1}{\partial h_y} +
\frac{\partial^2 t_1}{\partial y_1 \partial h_y}$ $\displaystyle = 0~.$    

Equation (70) represents a linear system of four equations to be solved for four unknown derivatives: $\partial x_1/\partial h_x$, $\partial x_1/\partial h_y$, $\partial y_1/\partial h_x$, and $\partial y_1/\partial h_y$. This is different from equation (42) for the case of 2D media, where we do not need to solve an additional linear system.


2024-07-04