Traveltime in general 2-D layered media

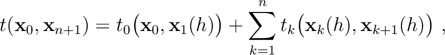
We consider a 2-D multi-layer model, where the total one-way traveltime from the fixed source $\mathbf{x}_0= \big(x_0,f_0(x_0)\big)$ on the interface $f_0$ to the receiver $\mathbf{x}_{n+1}= \big(x_{n+1},f_{n+1}(x_{n+1})\big)$ on the interface $f_{n+1}$ can be written as

$\displaystyle t(\mathbf{x}_0,\mathbf{x}_{n+1}) = t_0\big(\mathbf{x}_0,\mathbf{x...
...g) + \sum\limits_{k=1}^{n} t_{k}\big(\mathbf{x}_k(h),\mathbf{x}_{k+1}(h)\big)~,$ (1)

where $n$ is the number of interfaces and $\mathbf{x}_k$ for $k=1,2,\ldots,n$ denotes the point of intersection between the ray and the $k$-th interface (Figure 1). Every intersection point $\mathbf{x}_k$ and the receiver $\mathbf{x}_{n+1}$ depend on the distance $h = x_{n+1}-x_0 $, whereas the source at $\mathbf {x}_0$ does not. The two-point traveltime $t_{k}$ in the $k$-th layer is given by

$\displaystyle t_k (\mathbf{x}_k,\mathbf{x}_{k+1}) = \int^{\mathbf{x}_{k+1}}_{\mathbf{x}_k} w_k(\sigma_k) d\sigma_k ~,$ (2)

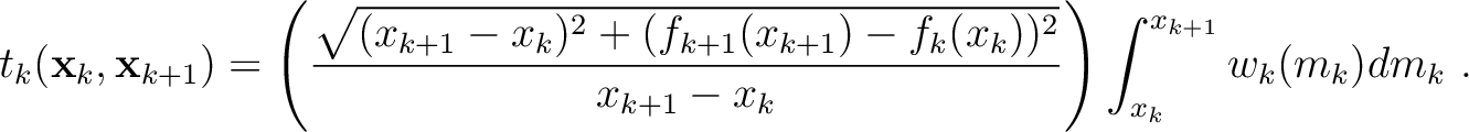
where $\sigma$ denotes the arc length along the ray between $\mathbf{x}_k$ and $\mathbf{x}_{k+1}$, and $w_k$ denotes the group slowness (1/group velocity) of the $k$-th layer that depends on $\sigma_k$. Assuming that in each layer $w_k$ only varies horizontally, equation 2 can be rewritten as

$\displaystyle t_k (\mathbf{x}_k,\mathbf{x}_{k+1}) = \int^{x_{k+1}}_{x_k} \frac{w_k(m_k)}{\sin \theta_k (m_k)} dm_k ~,$ (3)

where $m_k$ denotes the horizontal coordinate (midpoint direction) and $\theta_k$ is the angle of the raypath with respect to the vertical. In the following derivation, we assume that the lateral heterogeneity influences are weak and the resulting traveltime perturbations can be computed with respect to a straight raypath in each homogeneous sublayer. Therefore, we assume that $\theta_k$ is constant for each $k$-th layer and rewrite equation 3 as follows (Grechka and Tsvankin, 1999; Lynn and Claerbout, 1982):

$\displaystyle t_k (\mathbf{x}_k,\mathbf{x}_{k+1}) = \left(\frac{\sqrt{(x_{k+1}-...
...{k+1})-f_k(x_k))^2 }}{x_{k+1}-x_k} \right)\int^{x_{k+1}}_{x_k} w_k(m_k) dm_k ~.$ (4)

Equations 1 and 4 serve as the basis for our construction in this study, where we seek the following second-order total one-way traveltime derivative,

$\displaystyle \left.\frac{\partial^2 t}{\partial h^2}\right\rvert_{h=0},$   where$\displaystyle ~~h= x_{n+1}-x_0,$ (5)

evaluated at $h=0$ with respect to the reference vertical ray in a 1-D anisotropic medium (Figure 1). We denote the reference intersection point by $X=x_0$ and use `capital letters' to denote quantities evaluated with respect to the reference 1-D anisotropic medium.

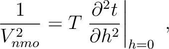
In consideration of reflection traveltime, equation 5 is related to the NMO velocity as follows:

$\displaystyle \frac{1}{V^2_{nmo}} = T \left.\frac{\partial^2 t}{\partial h^2 }\right\rvert_{h=0}~,$ (6)

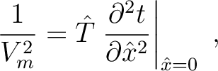
where $T$ is the one-way zero-offset traveltime from the point $\mathbf{x_0}$ on the reflector to the surface. In the case of diffraction traveltime, equation 5 can be related to time-migration velocity as follows:

$\displaystyle \frac{1}{V^2_{m}} = \hat{T} \left.\frac{\partial^2 t}{\partial \hat{x}^2}\right\rvert_{\hat{x}=0} ~,$ (7)

where $\hat{T}$ is the one-way vertical traveltime from the point scatterer $\mathbf{x_0}$ to the surface and we replace $h$ with $\hat{x} = x_{n+1}-x_0$. Even though $h$ and $\hat{x}$ have the same mathematical expression, they represent two different quantities. In case of reflection traveltime, it is common to use $h$ to denote half-offset. On the other hand, in consideration of diffraction traveltime, we use $\hat{x}$ here to denote the distance between the escape location $x_0$ of image ray and any surrounding point $x$ on the surface. We give a brief review on the derivation of equations 6 and 7 in Appendix A.

Because both NMO velocity (equation 6) for reflection traveltime and time-migration velocity (equation 7) for diffraction traveltime are related to the one-way traveltime derivative of a ray (either normal-incidence or image ray), it is, in principle, sufficient to study the effects from lateral heterogeneity on such derivative of a generic ray travelling between a subsurface position and the surface. We shall adopt this notion in this paper and begin our study by first looking at how the desired second-order one-way traveltime derivative evaluated at the surface (equation 5) is related to the derivatives of $t_k$ in each sublayer based on the Fermat's principle. This relationship will be used to accumulate the total effects of lateral heterogeneity from all sublayers.



Subsections

2024-07-04