Let us now turn to the right plot of Figure 15, which depicts the situation where we have a three-layered medium and the total traveltime is given by
where |
(44) |
We can proceed along the same line of argument as in the two-layer case and differentiating the total time with respect to
, which leads to
 |
(45) |
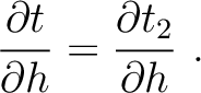
Again,
due to the Fermat's principle, we then have
 |
(46) |
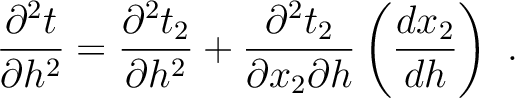
We further differentiate the expression with respect to
and arrive at
 |
(47) |
To find
, we differentiate the Fermat's conditions (
for
) in a similar manner as in the two-layer case.
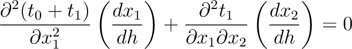
- At the first interface (
), the condition
leads to
 |
(48) |
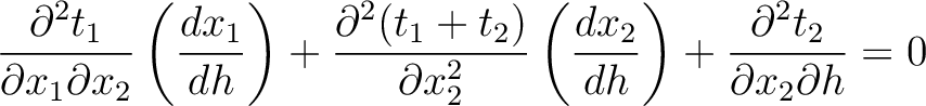
- At the second interface (
), the condition
leads to
 |
(49) |
At this stage, we can see that equations (48) and (49) contain two unknown variables
and
to be solved for. We propose to look at this problem in a specific way that will facilitate an extension to the general multi-layer case. We first rearrange equation (48) into the following form
 |
(50) |
which is reminiscent of equation (42) for the two-layer case when
const. Substituting equation (50) into equation (49), we arrive at
 |
(51) |
which can be substituted into equation (47) to evaluate the desired second-order total traveltime derivative.
2024-07-04