Two-layer case

Consider the two-layer setup shown in the left plot of Figure 15. In our notation, the total one-way traveltime is equal to

$\displaystyle t = t_0(\mathbf{x_0},\mathbf{x_1}(h)) + t_1(\mathbf{x_1}(h),\mathbf{x_2}(h))$   where$\displaystyle \quad h = x_2-x_0~.$ (36)

By definition of $\mathbf{x}_k= \big(x_k,f_k(x_k)\big)$, we may write equation (36) as

$\displaystyle t = t_0(x_0,x_1(h)) + t_1(x_1(h),x_2(h))$   where$\displaystyle \quad h = x_2-x_0~.$ (37)

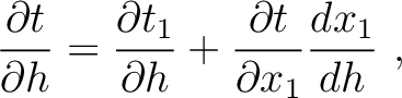
We emphasize the simple relationship between $x_2$ and $h$ and differentiating equation (37) with respect to $h$ to obtain

$\displaystyle \frac{\partial t}{\partial h} = \frac{\partial t_1}{\partial h} + \frac{\partial t}{\partial x_1} \frac{d x_1}{d h} ~,$ (38)

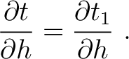
where the second term on the right-hand side disappear due to Fermat's principle ( $\partial t / \partial x_1 = 0$). Therefore, we have

$\displaystyle \frac{\partial t}{\partial h} = \frac{\partial t_1}{\partial h} ~.$ (39)

Further differentiating equation (39) with respect to $h$ leads to

$\displaystyle \frac{\partial^2 t}{\partial h^2} = \frac{\partial^2 t_1}{\partia...
...frac{\partial^2 t_1}{\partial x_1 \partial h}\left( \frac{d x_1}{d h}\right) ~.$ (40)

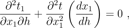
To evaluate the derivative in equation (40), we need $d x_1/d h$, which can be found from differentiating the Fermat's condition ( $\partial t / \partial x_1 = 0$) with respect to $h$. This leads to

$\displaystyle \frac{\partial^2 t_1 }{ \partial x_1 \partial h} + \frac{\partial^2 t }{ \partial x_1^2} \left( \frac{d x_1}{d h}\right) = 0~,$ (41)

and therefore,

$\displaystyle \frac{d x_1}{d h} = - \left. \left(\frac{\partial^2 t_1 }{ \parti...
...\middle/ \left(\frac{\partial^2 (t_0+t_1) }{ \partial x_1^2} \right) \right. ~.$ (42)

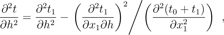
Substituting equation (42) into equation (40) leads to the final expression for the two-layer case studied by Blias (1981), Blyas et al. (1984), Gritsenko (1984), and Goldin (1986):

$\displaystyle \frac{\partial^2 t}{\partial h^2} = \frac{\partial^2 t_1}{\partia...
...\middle/ \left(\frac{\partial^2 (t_0+t_1) }{ \partial x_1^2} \right) \right. ~,$ (43)

which relates the second-order total traveltime derivative at the surface ( $\partial^2 t/\partial h^2$) to that of the interface below ( $\partial^2 t_1/\partial h^2$). All pertaining derivatives in equation (43) can be found from equation (15) in the main text that include the first-order effects from lateral heterogeneity.

2layer
2layer
Figure 15.
The ray configurations two- and three-layered media as the basis for relating the second-order traveltime derivatives at different interfaces.
[pdf] [png]


2024-07-04