A recursive formula from Fermat's principle

To understand how the contribution from each sublayer influences the desired second-order traveltime derivative at the surface, we follow the notion of Blias (1981), Blyas et al. (1984), Gritsenko (1984), and Goldin (1986) and establish the connections between the second-order traveltime derivatives evaluated at different interfaces using the Fermat's principle, which states that the total traveltime $t$ has to be stationary with respect to $x_k$ for $k=1,2,\ldots,n$, leading to

$\displaystyle \frac{\partial t}{\partial x_k}=0~.$ (8)

We begin our derivation by first differentiating equation 1 with respect to $h$, which gives

$\displaystyle \frac{\partial t}{\partial h}=\frac{\partial t_n}{\partial h}+\sum_{k=1}^n \frac{\partial t}{\partial x_k} \frac{\partial x_k}{\partial h},$ (9)

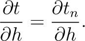
where $n$ is the index for the topmost layer. Due to the Fermat’s condition in equation 8, we then have

$\displaystyle \frac{\partial t}{\partial h}=\frac{\partial t_n}{\partial h}.$ (10)

Further differentiating equation 10 with respect to $h$, we arrive at

$\displaystyle \frac{\partial^2 t}{\partial h^2} = \frac{\partial^2 t_n}{\partial h^2} + \frac{\partial^2 t_n}{\partial h \partial x_n} \frac{d x_n}{dh}~,$ (11)

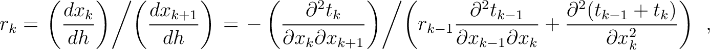
which can be used to compute the desired second-order traveltime derivative ( ${\partial^2 t}/{\partial h^2}$). In Appendix B, we show that by differentiating the Fermat’s condition in equation 8, the quantity $d x_n/dh$ in equation 11 can be computed from the following recursive formula:

$\displaystyle r_k = \left. \left( \frac{d x_k}{d h}\right) \middle/ \left( \fra...
...tial x_k} + \frac{\partial^2 (t_{k-1} + t_k)}{\partial x_k^2} \right)\right. ~,$ (12)

with $k = 1, \dots, n$. Note that because $h = x_{n+1}-x_0 $ and $x_0$ is independent of $h$ by definition, $dx_0/dh = 0$ and $dx_{n+1}/dh = 1$, which lead to $r_0 = 0$ and $r_n = dx_{n}/dh$. Equations 11 and 12 suggest that the desired second-order traveltime derivative at the surface can be computed by collecting the contributions from derivatives on $t_k$ from different sublayers through a recursion. The general results for multi-layer media in equations 11 and 12 represent a direct extension of the original findings for two-layer media by Blias (1981), Blyas et al. (1984), Gritsenko (1984), and Goldin (1986). Previously, only the two-layer version of this recursion was adopted and an approximate summation of contributions rather than a recursion was used. We review this proposition in Appendix C and discuss some connections to the exact recursion studied here.

Equations 11 and 12 represent a framework for computing the desired second-order total one-way traveltime derivative at the surface ( $\partial^2 t/\partial h^2$) from second-order one-way traveltime derivatives corresponding to different sublayers ($t_k$). In the next section, we introduce lateral heterogeneity effects for interfaces $f_k$ and the group slowness $w_k$ to the traveltime in each sublayer $t_k$ in equation 4. We subsequently compute the derivatives on $t_k$ that include both effects, which can then be used by recursion 12.


2024-07-04