next up previous [pdf]

Next: Application: Finite-difference traveltime computation Up: On anelliptic approximations for Previous: Shifted hyperbola approximation for

Shifted hyperbola approximation for the group velocity

Similar strategy is applicable for approximating the group velocity. Applying the shifted hyperbola approach to ``unlinearize'' Muir's approximation (17), we seek an approximation of the form

$\displaystyle \frac{1}{V_P^2(\Theta)} \approx E(\Theta)\,(1-S) + S\,\sqrt{E^2(\Theta) + \frac{2\,(Q-1)\,A\,C\, \sin^2{\Theta}\,\cos^2{\Theta}}{S}}$ (29)

An approximation of this form with $ S$ set to $ 1/2$ was proposed earlier by Zhang and Uren (2001). Similarly to the case of the phase velocity approximation, I constrain the value of $ S$ by Taylor fitting of the velocity profiles near the vertical angle.

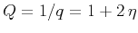
Although there is no simple explicit expression for the transversally isotropic group velocity, we can differentiate the parametric representations of $ V_P$ and $ \Theta$ in terms of the phase angle $ \theta$ that follow from equation (5). The group velocity is an even function of the angle $ \Theta$ because of the VTI symmetry. Therefore, the odd-order derivatives are zero at the axis of symmetry ( $ \Theta=\theta=0$ ). Fitting the second-order derivative $ d^2 V_P/d\Theta^2$ at $ \theta = 0$ produces $ Q=1/q=1+2\,\eta$ , consistent with Muir's approximation (17). Fitting additionally the fourth-order derivative $ d^4 V_P/d\Theta^4$ at $ \theta = 0$ produces

$\displaystyle S = \frac{1}{2}\,\frac{ \left[(l+f)^2 + l\,(c-l)\right]^2\,\left[...
... - (l+f)^2\right]}{ a^2\,c\,(c-l)\,(l+f)^2 - \left[l\,(c-l) + (l+f)^2\right]^3}$ (30)

or, equivalently,

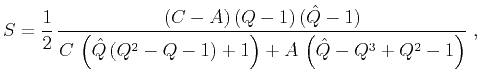
$\displaystyle S = \frac{1}{2}\,\frac{(C-A)\,(Q-1)\,(\hat{Q}-1)} {C\,\left(\hat{Q}\,(Q^2-Q-1) + 1\right) + A\,\left(\hat{Q}-Q^3+Q^2-1\right)}\;,$ (31)

where $ \hat{Q}=1/\hat{q}$ . As in the previous section, I approximate the optimal value of $ S$ by setting $ \hat{Q}$ equal to $ Q$ , as follows:

$\displaystyle S \approx \lim_{\hat{Q} \rightarrow Q} S = \frac{1}{2\,(1+Q)} = \frac{1}{4\,(1 + \eta)}\;.$ (32)

Selected in this way, the value of $ S$ depends on the anelliptic parameter $ Q$ (or $ \eta $ ) and, for small anellipticity, is close to $ 1/4$ , which is different from the value of $ 1/2$ in the approximation of Zhang and Uren (2001).

The final group velocity approximation takes the form

$\displaystyle \frac{1}{V^2_{P}(\Theta)} \approx \frac{1+2\,Q}{2\,(1+Q)}\,E(\The...
...+Q)}\, \sqrt{E^2(\Theta) + 4\,(Q^2-1)\,A\,C\,\sin^2{\Theta}\,\cos^2{\Theta}}\;.$ (33)

In Figure 4, the accuracy of approximation (33) is compared with the accuracy of Muir's approximation (17) and the accuracy of the weak anisotropy approximation (Thomsen, 1986) for the elastic parameters of the Greenhorn shale. The weak anisotropy approximation, used in this comparison, is

$\displaystyle V_P^2(\Theta) \approx c\,\left(1 + 2\,\epsilon\,\sin^4{\Theta} + 2\,\delta\,\sin^2{\Theta}\,\cos^2{\Theta}\right)\;,$ (34)

where $ \epsilon$ and $ \delta$ are Thomsen's parameters, defined in equations (21). A similar form (in a different parameterization) was introduced by Byun et al. (1989).

Approximation (33) turns out to be remarkably accurate for this example. It appears nearly exact for group angles up to 45 degrees from vertical and does not exceed 0.3% relative error even at larger angles. It is compared with two other approximations in Figure 5. These are the Zhang-Uren approximation (Zhang and Uren, 2001) and the Alkhalifah-Tsvankin approximation, which follows directly from the normal moveout equation suggested by Alkhalifah and Tsvankin (1995):

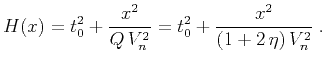
$\displaystyle t^2(x) \approx t_0^2 + \frac{x^2}{V_n^2} - \frac{2\,\eta\,x^4}{V_n^2\,\left[t_0^2\,V_n^2 + (1+ 2\,\eta)\,x^2\right]} \;,$ (35)

where $ t(x)$ is the moveout curve, $ t_0$ is the vertical traveltime, and $ V_n
= \sqrt{a/(1 + 2\,\eta)}$ is the NMO velocity. In a homogeneous medium, equation (35) corresponds to the group velocity approximation

$\displaystyle \frac{1}{V_P^2(\Theta)} \approx \frac{\cos^2{\Theta}}{V_z^2} + \f...
...2\,\left[\cos^2{\Theta}\,V_n^2/V_z^2 + (1+ 2\,\eta)\,\sin^2{\Theta}\right]} \;,$ (36)

where $ V_z = \sqrt{c}$ . In the notation of this paper, the Alkhalifah-Tsvankin equation (36) takes the form

$\displaystyle \frac{1}{V_P^2(\Theta)} \approx E(\Theta) + \frac{(Q-1)\,A\,C\, \sin^2{\Theta}\,\cos^2{\Theta}}{E(\Theta) + (Q^2-1)\,A\,\sin^2{\Theta}}$ (37)

and differs from approximation (17) by the correction term in the denominator. Approximation (33) is noticeably more accurate for this example than any of the other approximations considered here.

Another accurate group velocity approximation was suggested by Alkhalifah (2000b). However, the analytical expression is complicated and inconvenient for practical use. The accuracy of Alkhalifah's approximation for the Greenhorn shale example is depicted in Figure 6.

errgrp
errgrp
Figure 4.
Relative error of different group velocity approximations for the Greenhorn shale anisotropy. Short dash: Thomsen's weak anisotropy approximation. Long dash: Muir's approximation. Solid line: suggested approximation.
[pdf] [png] [sage]

errgrp2
errgrp2
Figure 5.
Relative error of different group velocity approximations for the Greenhorn shale anisotropy. Short dash: Alkhalifah-Tsvankin approximation. Long dash: Zhang-Uren approximation. Solid line: suggested approximation.
[pdf] [png] [sage]

errgrp4
errgrp4
Figure 6.
Relative error of different group velocity approximations for the Greenhorn shale anisotropy. Dashed line: Alkhalifah approximation. Solid line: suggested approximation.
[pdf] [png] [sage]

It is similarly possible to convert a group velocity approximation into the corresponding moveout equation. In a homogeneous anisotropic medium, the reflection traveltime $ t$ as a function of offset $ x$ is

$\displaystyle t(x) = \frac{2\,\sqrt{(x/2)^2+z^2}} {V_P\left(\arctan\left(\frac{x}{2\,z}\right)\right)}\;,$ (38)

where $ z = t_0\,V_P(0)/2$ is the depth of the reflector. The moveout equation corresponding to approximation (33) is
$\displaystyle t^2(x)$ $\displaystyle \approx$ $\displaystyle \frac{1+2\,Q}{2\,(1+Q)}\,H(x) +
\frac{1}{2\,(1+Q)}\,
\sqrt{H^2(x) + 4\,(Q^2-1)\,\frac{t_0^2\,x^2}{Q\,V_n^2}}$  
  $\displaystyle =$ $\displaystyle \frac{3+4\,\eta}{4\,(1+\eta)}\,H(x) +
\frac{1}{4\,(1+\eta)}\,
\sqrt{H^2(x) + 16\,\eta\,(1+\eta)\,\frac{t_0^2\,x^2}{(1+2\,\eta)\,V_n^2}}
\;,$ (39)

where $ H(x)$ represents the hyperbolic part:

$\displaystyle H(x) = t_0^2 + \frac{x^2}{Q\,V_n^2} = t_0^2 + \frac{x^2}{(1+2\,\eta)\,V_n^2}\;.$ (40)

For small offsets, the Taylor series expansion of equation (39) is
$\displaystyle t^2(x)$ $\displaystyle \approx$ $\displaystyle t_0^2 + \frac{x^2}{V_n^2} -
(Q-1)\,\frac{x^4}{t_0^2\,V_n^4} +
(Q-1)\,(2\,Q^2-1)\,\frac{x^6}{Q\,t_0^4\,V_n^6} + O(x^8)$  
  $\displaystyle =$ $\displaystyle t_0^2 + \frac{x^2}{V_n^2} - 2\,\eta\,\frac{x^4}{t_0^2\,V_n^4} +
2\,\eta\,(1+8\,\eta+8\eta^2)\,\frac{x^6}{(1+2\,\eta)\,t_0^4\,V_n^6} +
O(x^8)\;.$ (41)

Figure 7 compares the accuracy of different moveout approximations assuming reflection from the bottom of a homogeneous anisotropic layer of 1 km thickness with the elastic parameters of Greenhorn shale. Approximation (39) appears extremely accurate for half-offsets up to 1 km and does not develop errors greater than 5 ms even at much larger offsets.

timepp
timepp
Figure 7.
Traveltime moveout error of different group velocity approximations for Greenhorn shale anisotropy. The reflector depth is 1 km. Short dash: Alkhalifah-Tsvankin approximation. Long dash: Zhang-Uren approximation. Solid line: suggested approximation.
[pdf] [png] [sage]

It remains to be seen if the suggested approximation proves to be useful for describing normal moveout in layered media. The next section discusses its application for traveltime computation in heterogenous velocity models.


next up previous [pdf]

Next: Application: Finite-difference traveltime computation Up: On anelliptic approximations for Previous: Shifted hyperbola approximation for

2014-05-14