next up previous [pdf]

Next: Shifted hyperbola approximation for Up: On anelliptic approximations for Previous: Muir approximation

Shifted hyperbola approximation for the phase velocity

Despite the beautiful symmetry of Muir's approximations (12) and (17), they are less accurate in practice than some other approximations, most notably the weak anisotropy approximation of Thomsen (1986), which can be written as (Tsvankin, 1996)

$\displaystyle v_P^2(\theta) \approx c\,\left(1 + 2\,\epsilon\,\sin^4{\theta} + 2\,\delta\,\sin^2{\theta}\,\cos^2{\theta}\right)\;,$ (20)

where

$\displaystyle \epsilon = \frac{a-c}{2\,c}$   and$\displaystyle \quad \delta = \frac{(l + f)^2 - (c - l)^2}{2\,c\,(c - l)}\;.$ (21)

Note that both approximations involve the anellipticity factor ($ q-1$ or $ \epsilon-\delta$ ) in a linear fashion. If the anellipticity effect is significant, the accuracy of Muir's equations can be improved by replacing the linear approximation with a nonlinear one. There are, of course, infinitely many nonlinear expressions that share the same linearization. In this study, I focus on the shifted hyperbola approximation, which follows from the fact that an expression of the form

$\displaystyle x + \frac{\alpha}{x}$ (22)

is the linearization (Taylor series expansion) of the form

$\displaystyle x\,(1-s) + s\,\sqrt{x^2 + \frac{2\,\alpha}{s}}$ (23)

for small $ \alpha$ . Linearization does not depend on the parameter $ s$ , which affects only higher-order terms in the Taylor expansion. Expression (23) is reminiscent of the shifted hyperbola approximation for normal moveout in vertically heterogeneous media (Malovichko, 1978; de Bazelaire, 1988; Sword, 1987; Castle, 1994) and the Stolt stretch correction in the frequency-wavenumber migration (Stolt, 1978; Fomel and Vaillant, 2001). It is evident that Muir's approximation (12) has exactly the right form (22) to be converted to the shifted hyperbola approximation (23).

Thus, we seek an approximation of the form

$\displaystyle v_P^2(\theta) \approx e(\theta)\,(1-s) + s\,\sqrt{e^2(\theta) + \frac{2\,(q-1)\,a\,c\, \sin^2{\theta}\,\cos^2{\theta}}{s}}$ (24)

with $ e(\theta)$ defined by equation (13). The plan is to select a value of the additional parameter $ s$ to fit the exact phase velocity expression (4) and then to constrain $ s$ so that it depends only on the three parameters already present in the original approximation (12).

One can verify that the velocity curvature $ d^2 v_P/d \theta^2$ around the vertical axis $ \theta = 0$ for approximation (24) depends on the chosen value of $ q$ but does not depend on the value of the shift parameter $ s$ . This means that the velocity profile $ v_P(\theta)$ becomes sensitive to $ s$ only further away from the vertical direction. This separation of influence between the approximation parameters is an important and attractive property of the shifted hyperbola approximation. I find an appropriate value for $ s$ by fitting additionally the fourth-order derivative $ d^4 v_P/d
\theta^4$ at $ \theta = 0$ to the corresponding derivative of the exact expression. The fit is achieved when $ s$ has the value

$\displaystyle s = \frac{c-l}{2}\,\frac{(a-l)\,(c-l) - (l+f)^2} {a\,(c-l)^2 - c\,(l+f)^2}\;.$ (25)

It is more instructive to express it in the form

$\displaystyle s = \frac{1}{2}\,\frac{(a-c)\,(q-1)\,(\hat{q}-1)} {a\,\left(1 - \hat{q} - q\,(1-q)\right) - c\,\left((\hat{q}-1)^2+\hat{q}\,(q-\hat{q})\right)}\;,$ (26)

where $ q$ and $ \hat{q}$ are defined by equations (14) and (16). In this form of the expression, $ \hat{q}$ appears as the extra parameter that we need to eliminate. This parameter was defined by fitting the velocity profile curvature around the horizontal axis, which would correspond to infinitely large offsets in a surface seismic experiment. One possible way to constrain it is to set $ \hat{q}$ equal to $ q$ , which implies that the velocity profile has similar behavior near the vertical and the horizontal axes. Setting $ \hat{q} \approx q$ in equation (26) yields

$\displaystyle s \approx \lim_{\hat{q} \rightarrow q} s = \frac{1}{2}\;.$ (27)

Substituting (27) in equation (24) produces the final approximation

$\displaystyle v_P^2(\theta) \approx \frac{1}{2}\,e(\theta) + \frac{1}{2}\,\sqrt{e^2(\theta) + 4\,(q-1)\,a\,c\,\sin^2{\theta}\,\cos^2{\theta}}\;.$ (28)

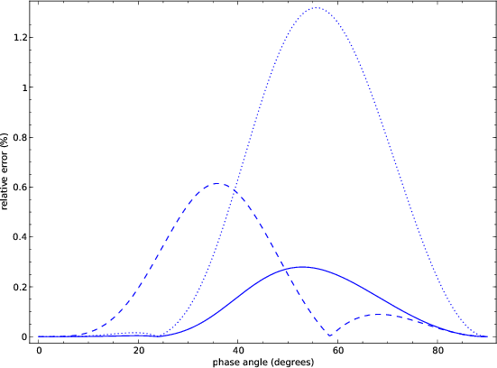
Approximation (28) is exactly equivalent to the acoustic approximation of Alkhalifah (1998,2000a), derived with a different set of parameters by formally setting the $ S$ -wave velocity ($ l=v_S^2$ ) in equation (4) to zero. A similar approximation is analyzed by Stopin (2001). Approximation (28) was proved to possess a remarkable accuracy even for large phase angles and significant amounts of anisotropy. Figure 3 compares the accuracy of different approximations using the parameters of the Greenhorn shale. The acoustic approximation appears especially accurate for phase angles up to about 25 degrees and does not exceed the relative error of 0.3% even for larger angles.

errphp
errphp
Figure 3.
Relative error of different phase velocity approximations for the Greenhorn shale anisotropy. Short dash: Thomsen's weak anisotropy approximation. Long dash: Muir's approximation. Solid line: suggested approximation (similar to Alkhalifah's acoustic approximation.)
[pdf] [png] [sage]


next up previous [pdf]

Next: Shifted hyperbola approximation for Up: On anelliptic approximations for Previous: Muir approximation

2014-05-14