 |
 |
 |
 | On anelliptic approximations for
velocities in
transversally isotropic media |  |
![[pdf]](icons/pdf.png) |
Next: Muir approximation
Up: On anelliptic approximations for
Previous: Introduction
Wavefront propagation in the general anisotropic media can be
described with the anisotropic eikonal equation
 |
(1) |
where
is a point in space,
is the
traveltime at that point for a given source, and
is the phase velocity in the phase direction
.
In the case of VTI media, the three modes of elastic wave propagation
(
,
, and
) have the following well-known explicit
expressions for the phase velocities (Gassmann, 1964):
where, in the notation of Backus (1962) and Berryman (1979),
,
,
,
,
,
are the density-normalized components of the elastic tensor, and
is
the phase angle between the phase direction
and the axis of
symmetry.
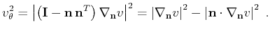
The group velocity describes the propagation of individual ray trajectories
. It can be determined from the phase velocity using the
general expression
 |
(5) |
where
denotes the identity matrix,
stands for the
transpose of
, and
is the gradient
of
with respect to
. The two terms in
equation (5) are clearly orthogonal to each other. Therefore, the
group velocity magnitude is
(Berryman, 1979; Byun, 1984; Postma, 1955)
 |
(6) |
where
 |
(7) |
The group velocity has a particularly simple form in the case of elliptic
anisotropy. Specifically, the phase velocity squared has the
quadratic form
 |
(8) |
with a symmetric positive-definite matrix
, and the group
velocity is
 |
(9) |
where
.
The corresponding group slowness squared has the explicit expression
 |
(10) |
where
is the group direction, and
is the matrix
inverse of
. For example, the elliptic expression (2) for
the phase velocity of
waves in VTI media transforms into a completely
analogous expression for the group slowness
 |
(11) |
where
,
, and
is the angle between the group direction
and the axis of symmetry.
The situation is more complicated in the anelliptic case.
Figure 1 shows the
and
phase velocity profiles in a
transversely isotropic material - Greenhorn shale (Jones and Wang, 1981),
which has the parameters
km
s
,
km
s
,
km
s
, and
km
s
. Figure 2 shows the
corresponding group velocity profiles. The non-convexity of the
phase
velocity causes a multi-valued (triplicated) group velocity profile. The
shapes of all the surfaces are clearly anelliptic.
|
|---|
exph
Figure 1. Phase velocity profiles for
(outer curve) and
(inner curve) waves in a transversely isotropic material (Greenhorn
shale).
|
|---|
|
|---|
|
|---|
exgr
Figure 2. Group velocity profiles for
(outer curve) and
(inner curve) waves in a transversely isotropic material (Greenhorn
shale).
|
|---|
|
|---|
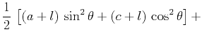
A simple model of anellipticity is suggested by the Muir approximation
(Dellinger et al., 1993; Muir and Dellinger, 1985), reviewed in the next section.
 |
 |
 |
 | On anelliptic approximations for
velocities in
transversally isotropic media |  |
![[pdf]](icons/pdf.png) |
Next: Muir approximation
Up: On anelliptic approximations for
Previous: Introduction
2014-05-14