Layer traveltime derivatives with heterogeneity

Incorporating the two sources of heterogeneity (equations 13 and 14) into equation 4 and evaluating the integral, we can derive the traveltime $t_k$ that includes the heterogeneity effects. Twice differentiating the result with respect to $x_k$ and $x_{k+1}$ and evaluating at the vertical reference ($x_k = X$ and $h=0$), we arrive at the following layer traveltime derivatives:

$\displaystyle \left.\frac{\partial^2 t_{k-1}}{\partial x_{k-1} \partial x_{k}}\right\rvert_{h=0}$ $\displaystyle = \left.\frac{\partial^2 T_{k-1}}{\partial x_{k-1} \partial x_{k}}\right\rvert_{h=0} +$   H$\displaystyle _1 ~,$ (15)
$\displaystyle \left.\frac{\partial^2 t_{k-1}}{\partial x_{k}^2}\right\rvert_{h=0}$ $\displaystyle = \left.\frac{\partial^2 T_{k-1}}{\partial x_{k}^2}\right\rvert_{h=0} +$   H$\displaystyle _2 ~,$    
$\displaystyle \left.\frac{\partial^2 t_{k}}{\partial x^2_{k}}\right\rvert_{h=0}$ $\displaystyle = \left.\frac{\partial^2 T_{k}}{\partial x^2_{k}}\right\rvert_{h=0} +$   H$\displaystyle _3 ~,$    

where $T_k$ denotes the traveltime of the $k$-th layer in the reference 1-D horizontally-layered anisotropic media with constant elastic parameters within each layer. Therefore, the terms with $T_k$ derivatives are the usual results ones get under the 1-D medium assumption. The additional heterogeneous terms (H$_i$) that combine the effects from curved interfaces and laterally varying velocity are given by

H$\displaystyle _1$ $\displaystyle = \frac{(F'_{k-1} - F'_{k})W'_{k-1} }{2} + \frac{(F_{k-1} - F_{k})W''_{k-1} }{6} ~,$ (16)
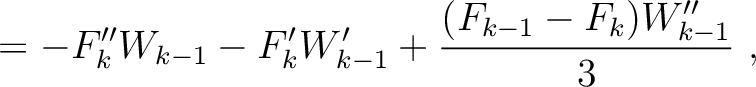
H$\displaystyle _2$ $\displaystyle = - F''_{k} W_{k-1} - F'_{k}W'_{k-1} + \frac{(F_{k-1} - F_{k})W''_{k-1} }{3} ~,$    
H$\displaystyle _3$ $\displaystyle = F''_{k} W_{k} + F'_{k}W'_{k} + \frac{(F_{k} - F_{k+1}) W''_{k} }{3} ~.$    

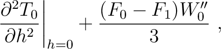
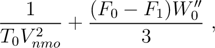
The expression for $\frac{\partial^2 t_{k}}{\partial x_{k} \partial x_{k+1}}$ is similar to that of $\frac{\partial^2 t_{k-1}}{\partial x_{k-1} \partial x_{k}}$ with shifted indices. If a single horizontal layer is considered, equation 11 becomes reminiscent of the result by Grechka and Tsvankin (1999):

$\displaystyle \left.\frac{\partial^2 t_0}{\partial h^2}\right\rvert_{h=0} =$ $\displaystyle ~\left.\frac{\partial^2 T_0}{\partial h^2}\right\rvert_{h=0} + \frac{(F_{0} - F_{1})W''_{0}}{3}~,$    
$\displaystyle =$ $\displaystyle ~ \frac{1}{T_0 V^2_{nmo}} + \frac{(F_{0} - F_{1})W''_{0}}{3}~,$ (17)

but with the second derivative on group slowness as opposed to group velocity. $V_{nmo}$ is the usual normal-moveout velocity in the reference 1-D medium, which translates to $V_m$ in the case of diffraction traveltime.


2024-07-04