next up previous [pdf]

Next: About this document ... Up: Alkhalifah: TI traveltimes in Previous: Appendix C: The homogeneous

Appendix D: Expansion in 3D

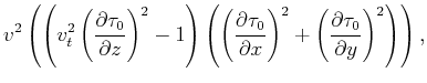
The eikonal equation for $P$-waves in a TI medium with a tilt in the symmetry axis satisfies the following relation,

$\displaystyle a_4 v_t^4 \left(\frac{\partial \tau }{\partial z}\right)^4+a_3 v_...
...l \tau }{\partial z}\right)^2+a_1 v_t
\frac{\partial \tau }{\partial z}+a_0=0,$     (45)

where
$\displaystyle a_0$ $\textstyle =$ $\displaystyle 2 v^2 v_t^2 \eta \sin ^2\theta \cos ^2\theta \left(\cos\phi \frac...
...partial \tau }{\partial x}-\sin\phi
\frac{\partial \tau }{\partial y}\right)^2$  
  $\textstyle +$ $\displaystyle 2 v^2 v_t^2 \eta \sin
^2\theta \left(\sin\phi \frac{\partial \ta...
...partial \tau }{\partial x}-\sin\phi \frac{\partial \tau
}{\partial y}\right)^2$  
  $\textstyle -$ $\displaystyle v^2 (2 \eta +1) \left(\sin\phi
\frac{\partial \tau }{\partial x}...
...tial \tau }{\partial x}-\sin\phi \frac{\partial \tau
}{\partial y}\right)^2+1,$ (46)
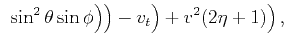
$\displaystyle a_1$ $\textstyle =$ $\displaystyle -\frac{2}{v_t} \sin\theta \cos\theta
\left(\cos\phi \frac{\parti...
..._t \sin\phi \frac{\partial \tau }{\partial
y}-1\right) \right. \right. \right.$  
  $\textstyle +$ $\displaystyle \left. \left. \left. v_t \left(\frac{\partial \tau }{\partial x}\...
...cos ^2\theta \sin ^2\phi+\cos ^2(\phi
)\right) \right. \right. \right. \right.$  
  $\textstyle +$ $\displaystyle \left. \left. \left. \left. \sin ^2\theta \sin\phi\right)\right)-v_t\right)+v^2
(2 \eta +1)\right),$ (47)
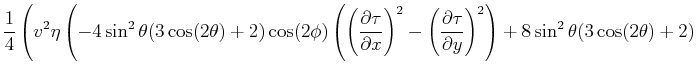
$\displaystyle a_{2}$ $\textstyle =$ $\displaystyle \frac{1}{4} \left(v^2 \eta
\left(-4 \sin ^2\theta (3 \cos (2\th...
...rtial y}\right)^2\right)+8
\sin ^2\theta (3 \cos (2\theta )+2) \right. \right.$  
    $\displaystyle \left. \left. \sin (2\phi ) \frac{\partial
\tau }{\partial x} \f...
...frac{\partial \tau }{\partial
y}\right)^2\right)\right)-4 \cos ^2\theta\right)$  
  $\textstyle -$ $\displaystyle \frac{v^2 (2 \eta +1)
\sin ^2\theta}{v_t^2},$ (48)
$\displaystyle a_3$ $\textstyle =$ $\displaystyle \frac{v^2 \eta \sin (4\theta ) \left(\cos
\phi \frac{\partial \tau }{\partial x}-\sin\phi \frac{\partial
\tau }{\partial y}\right)}{v_t},$ (49)
$\displaystyle a_{4}$ $\textstyle =$ $\displaystyle \frac{v^2 \eta \sin ^2\theta \cos
^2\theta}{v_t^2}.$ (50)

To develop equations for the coefficients of a traveltime expansion in 3D from a background elliptical anisotropy with a vertical symmetry axis I use vector notations ($n_{x}$ and $n_{y}$) to describe the tilt angles, where the components of this 2D vector describe the projection of the symmetry axis on each of the $x-z$ and $y-z$ planes, respectively. As a result,

\begin{displaymath}
n_{x} = \sin\theta \cos\phi,
\end{displaymath} (51)

and
\begin{displaymath}
n_{y} = \sin\theta \sin\phi.
\end{displaymath} (52)

Using these two equations to solve for $\sin\theta$ and $\sin\phi$ and plugging them into equation D-1 yields an eikonal for TTI media in terms of $n_x$ and $n_{y}$. Thus, inserting the following trial solution
$\displaystyle \tau(x,y,z) \approx \tau_{0}(x,y,z) +\tau_{\eta}(x,y,z) \eta+\tau_{\eta_{2}}(x,y,z) \eta^{2}+\tau_{n_{x}}(x,y,z) n_{x}+ \tau_{n_{y}}(x,y,z) n_{y},$     (53)

where $\eta $, $n_{x}$, and $n_{y}$ are independent parameters and small, into the eikonal equation yields an extremely long equation. Again, setting the coefficients of the independent parameters ($\eta $, $n_{x}$, and $n_{y}$) to zero in the equation gives the eikonal equation for elliptical anisotropy with vertical symmetry axis. On the other hand, the coefficients of the first power of the independent parameters yield:
$\displaystyle v^2 \frac{\partial \tau _0}{\partial x}
\frac{\partial \tau _{\e...
... \frac{\partial \tau _0}{\partial z} \frac{\partial \tau _{\eta
}}{\partial z}$ $\textstyle =$ $\displaystyle v^2 \left( \left( v_t^2 \left(\frac{\partial \tau _0}{\partial z}...
... x}\right)^2+\left(\frac{\partial \tau _0}{\partial
y}\right)^2\right)\right),$  
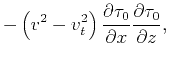
$\displaystyle v^2 \frac{\partial \tau _0}{\partial y} \frac{\partial \tau
_{n_...
...2 \frac{\partial \tau
_0}{\partial z} \frac{\partial \tau _{n_x}}{\partial
z}$ $\textstyle =$ $\displaystyle -\left(v^{2}-v_t^{2}\right) \frac{\partial \tau
_0}{\partial x} \frac{\partial \tau _0}{\partial z},$  
$\displaystyle v^2 \frac{\partial \tau _0}{\partial y} \frac{\partial \tau
_{n_...
...2 \frac{\partial \tau
_0}{\partial z} \frac{\partial \tau _{n_y}}{\partial
z}$ $\textstyle =$ $\displaystyle -\left(v^{2}-v_t^{2}\right) \frac{\partial \tau
_0}{\partial y} \frac{\partial \tau _0}{\partial z},$ (54)

corresponding to $\eta $, $n_{x}$, and $n_{y}$, respectively.

The coefficient of the $\eta^{2}$ term, for higher accuracy in $\eta $, is given by

    $\displaystyle 2 v^2 \frac{\partial \tau
_0}{\partial x} \frac{\partial \tau _{...
...\partial \tau _0}{\partial y} \frac{\partial
\tau _{\eta }}{\partial y}\right)$  
  $\textstyle +$ $\displaystyle 4 v_t^2 v^2 \frac{\partial \tau
_0}{\partial z} \left(\left(\fra...
...partial \tau _0}{\partial y} \frac{\partial \tau _{\eta
}}{\partial y} \right)$  
  $\textstyle -$ $\displaystyle v_t^2
\left(\frac{\partial \tau _{\eta }}{\partial z}\right)^2.$ (55)

These first-order PDEs, when solved, provide traveltime approximations using equation D-9 for 3D TI media in a generally inhomogeneous elliptical anisotropic background.

For a homogeneous medium simplification, the traveltime is given by the following analytical relation in 3-D elliptical anisotropic media:

\begin{displaymath}
\tau_{0}(x,y,z) = \sqrt{\frac{x^2+y^{2}}{v^{2}}+\frac{z^2}{v^{2}_{t}}},
\end{displaymath} (56)

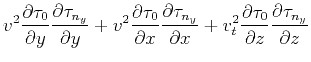
which satisfies the eikonal equation B-2 in 3D. Using equation D-12, I evaluate $\frac{\partial \tau _{0}}{\partial x}$, $\frac{\partial \tau _{0}}{\partial y}$ and $\frac{\partial \tau _{0}}{\partial z}$ and insert them into equations D-10 to solve these first-order linear equations to obtain
$\displaystyle \tau_{\eta}(x,y,z)$ $\textstyle =$ $\displaystyle -\frac{v_t^4 \left(x^2+y^2\right)^2
\sqrt{\frac{x^2+y^2}{v^2}+\frac{z^2}{v_t^2}}}{\left(v^2 z^2+v_t^2
\left(x^2+y^2\right)\right)^2},$  
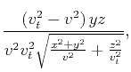
$\displaystyle \tau_{n_{x}}(x,y,z)$ $\textstyle =$ $\displaystyle \frac{\left(v_t^2-v^2\right) x z}{v^2 v_t^2
\sqrt{\frac{x^2+y^2}{v^2}+\frac{z^2}{v_t^2}}},$  
$\displaystyle \tau_{n_{y}}(x,y,z)$ $\textstyle =$ $\displaystyle \frac{\left(v_t^2-v^2\right) y z}{v^2 v_t^2
\sqrt{\frac{x^2+y^2}{v^2}+\frac{z^2}{v_t^2}}},$ (57)

respectively.

I now evaluate $\frac{\partial \tau _{\eta}}{\partial x}$, $\frac{\partial \tau _{\eta}}{\partial y}$, and $\frac{\partial \tau _{\eta}}{\partial z}$ and use them to solve equation D-11. After some tedious algebra, I obtain

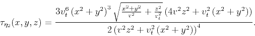
\begin{displaymath}
\tau_{\eta_{2}}(x,y,z) = \frac{3 v_t^6 \left(x^2+y^2\right)^...
...right)}{2 \left(v^2 z^2+v_t^2
\left(x^2+y^2\right)\right)^4}.
\end{displaymath} (58)

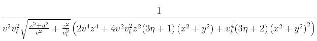
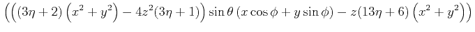
The application of Pade approximation on the expansion in $\eta $, by finding a first order polynomial representation in the denominator, yields a TI equation that is accurate for large $\eta $ (Alkhalifah, 2010), as well as small tilt, given by

$\displaystyle \tau(x,y,z)$ $\textstyle \approx$ $\displaystyle \frac{1}{v^2 v_t^2
\sqrt{\frac{x^2+y^2}{v^2}+\frac{z^2}{v_t^2}} ...
...\eta +1) \left(x^2+y^2\right)+v_t^4 (3 \eta +2)
\left(x^2+y^2\right)^2\right)}$  
    $\displaystyle \left(2 v^6 z^5 (z- \sin\theta \left( x \cos\phi+y \sin
\phi \ri...
...^4 z^3 \left(\left((6 \eta +2)
\left(x^2+y^2\right)-z^2\right) \right. \right.$  
    $\displaystyle \left. \left. (\sin\theta \left( x \cos\phi+y \sin
\phi \right))...
... \eta +1)
\left(x^2+y^2\right)\right)-v_t^4 v^2 z \left(x^2+y^2\right) \right.$  
    $\displaystyle \left.
\left(\left((3 \eta +2) \left(x^2+y^2\right)-4 z^2 (3 \et...
...os\phi+y \sin
\phi \right)-z (13
\eta +6) \left(x^2+y^2\right)\right) \right.$  
    $\displaystyle \left. +v_t^6 \left(x^2+y^2\right)^2
\left(x^2 (\eta +2)+z (3 \e...
... \sin\theta \left( x \cos\phi+y \sin
\phi \right)+y^2 (\eta +2)\right)\right).$ (59)


next up previous [pdf]

Next: About this document ... Up: Alkhalifah: TI traveltimes in Previous: Appendix C: The homogeneous

2013-04-02