 |
 |
 |
 | Traveltime approximations for transversely isotropic media with an inhomogeneous background |  |
![[pdf]](icons/pdf.png) |
Next: Appendix C: The homogeneous
Up: Alkhalifah: TI traveltimes in
Previous: Appendix A: Expansion in
For an expansion in
and
, simultaneously, I use the following trial solution:
 |
(30) |
in terms of the coefficients
, where the
corresponds to
, and
.
Inserting the trial solution, equation B-1, into equation A-1 yields again a long formula,
but by setting both
and
,
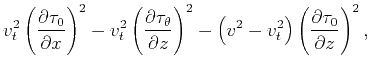
I obtain the zeroth-order term given by
 |
(31) |
which is simply the eikonal formula for elliptical anisotropy. By equating the coefficients of the powers
of the independent parameter
and
, in succession starting with first powers of the two parameters,
we end up first with the coefficients of first-power in
and zeroth power in
,
simplified by using equation B-2, and given by
 |
(32) |
which is a first-order linear partial differential equation in
. The
coefficients of zero-power in
and the first-power in
is given by
 |
(33) |
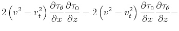
The coefficients of the square terms in
, with some manipulation, results in the following relation
which is again a first-order linear partial differential equation in
with an obviously more complicated source function given by the right hand side.
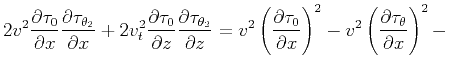
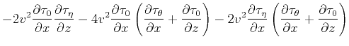
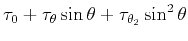
The coefficients of the square terms in
, with also some manipulation, results in the following relation
 |
|
|
|
 |
|
|
(35) |
which is again a first-order linear partial differential equation in
with a again complicated source function.
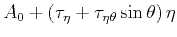
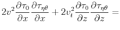
Finally, the coefficients of the first-power terms in both
and
results also in a first-order linear partial differential equation in
given by
Though the equation seems complicated, many of the variables of the source function (right hand side) can be evaluated during the evaluation of
equations B-3 and B-4 in a fashion that will not add much to the cost.
Using Shanks transforms (Bender and Orszag, 1978) we can isolate and remove the most transient behavior of the expansion B-1
in
(the
expansion did not improve with such a treatment) by first defining the
following parameters:
The first sequence of Shanks transforms uses
,
, and
, and thus, is given by
 |
|
|
|
 |
|
|
(38) |
 |
 |
 |
 | Traveltime approximations for transversely isotropic media with an inhomogeneous background |  |
![[pdf]](icons/pdf.png) |
Next: Appendix C: The homogeneous
Up: Alkhalifah: TI traveltimes in
Previous: Appendix A: Expansion in
2013-04-02