next up previous [pdf]

Next: Appendix D: Expansion in Up: Alkhalifah: TI traveltimes in Previous: Appendix B: Expansion in

Appendix C: The homogeneous medium case

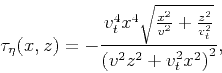
To develop analytical traveltime representation for TI media, I start with a background velocity model that is homogeneous. The expansion here will be with respect to $\eta $ and $\theta $ from a background elliptical anisotropic model. In this case, the traveltime from a point source at $x=0$ and $z=0$ is given by the following simple relation in 2-D:

\begin{displaymath}
\tau_{0}(x,z) = \sqrt{\frac{x^2}{v^{2}}+\frac{z^2}{v^{2}_{t}}},
\end{displaymath} (39)

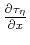
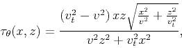
which satisfies the eikonal equation B-2. Using equation C-1, I evaluate $\frac{\partial \tau _{0}}{\partial x}$ and $\frac{\partial \tau _{0}}{\partial z}$ and insert them into equation B-3 to solve the first-order linear equation to obtain
\begin{displaymath}
\tau_{\theta}(x,z) = \frac{\left(v_t^2-v^2\right) x z
\sqrt{\frac{x^2}{v^2}+\frac{z^2}{v_t^2}}}{v^2 z^2+v_t^2 x^2},
\end{displaymath} (40)

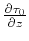
as well as insert them into equation B-4 and solve the equation to obtain
\begin{displaymath}
\tau_{\eta}(x,z) = -\frac{v_t^4 x^4 \sqrt{\frac{x^2}{v^2}+\frac{z^2}{v_t^2}}}{\left(v^2
z^2+v_t^2 x^2\right)^2},
\end{displaymath} (41)

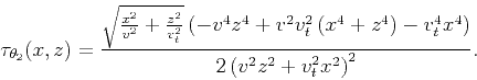
I now evaluate $\frac{\partial \tau _{\theta}}{\partial x}$ and $\frac{\partial \tau _{\theta}}{\partial z}$ and use them to solve equation B-5. After some tedious algebra, I obtain

\begin{displaymath}
\tau_{\theta_2}(x,z) = \frac{\sqrt{\frac{x^2}{v^2}+\frac{z^2...
...right)-v_t^4 x^4\right)}{2 \left(v^2 z^2+v_t^2
x^2\right)^2}.
\end{displaymath} (42)

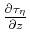
I also evaluate $\frac{\partial \tau _{\eta}}{\partial x}$ and $\frac{\partial \tau _{\eta}}{\partial z}$ and use them to solve equation B-6 to obtain
\begin{displaymath}
\tau_{\eta_2}(x,z) = \frac{3 v_t^6 x^6 \sqrt{\frac{x^2}{v^2}...
...^2
z^2+v_t^2 x^2\right)}{2 \left(v^2 z^2+v_t^2 x^2\right)^4}.
\end{displaymath} (43)

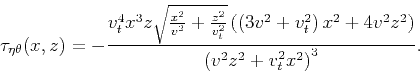
Finally, I solve equation B-7. After some tedious algebra once again, I obtain

\begin{displaymath}
\tau_{\eta \theta}(x,z) = -\frac{v_t^4 x^3 z \sqrt{\frac{x^2...
...ght) x^2+4 v^2 z^2\right)}{\left(v^2
z^2+v_t^2 x^2\right)^3}.
\end{displaymath} (44)

Using the first sequence of Shanks transform, equation B-9, applied to the Taylor's series expansion, we obtain an analytical equation that describes traveltime as a function of $\eta $ and $\theta $.

For 3-D media, I include the azimuth angle as we will see next.


next up previous [pdf]

Next: Appendix D: Expansion in Up: Alkhalifah: TI traveltimes in Previous: Appendix B: Expansion in

2013-04-02