 |
 |
 |
 | Seismic wave extrapolation using lowrank symbol approximation |  |
![[pdf]](icons/pdf.png) |
Next: EXAMPLES
Up: Fomel, Ying, & Song:
Previous: WAVE EXTRAPOLATION
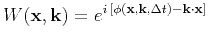
The key idea of the lowrank decomposition is decomposing the
wave extrapolation matrix
![$\displaystyle W(\mathbf{x},\k ) = e^{i \left[\phi(\mathbf{x},\k ,\Delta t)-\k\cdot \mathbf{x}\right]}$](img40.png) |
(11) |
for a fixed
into a separated representation
 |
(12) |
Representation (12) speeds up the computation of
since
The evaluation of the last formula is effectively equivalent to
applying
inverse Fast Fourier Transforms. Physically, a separable
lowrank approximation amounts to selecting a set of
representative
spatial locations and
representative wavenumbers.
In order to discuss the construction of approximation (12),
let us view it as a matrix decomposition problem
 |
(14) |
where
is the
matrix with entries
,
is the submatrix of
that
consists of the columns associated with
,
is
the submatrix that consists of the rows associated with
,
and
. In practice, we find that the
matrix
has a low rank separated representation provided
that
is sufficiently small, which, in the case of
smooth models, can be partially explained by the separation of terms
in the Taylor series 5. Let
be a prescribed
accuracy of this separated representation, and
be the
numerical rank of
. The construction of the separated
representation in equation (14) follows the method of
Engquist and Ying (2007, 2009) and is detailed in the appendix. The
main observation is that the columns of
and the rows of
should span the column space and row space of
, respectively, as well as possible. The algorithm for
computing (14) takes the following steps:
- Pick a uniformly random set
of
columns of
where
is chosen to be 3 or 4 in
practice. Perform the pivoted QR factorization to
(Golub and Van Loan, 1996). The first
pivoted
columns correspond to
rows of the matrix
. Define
to be the submatrix of
that consists of these rows and set
with
to be the corresponding
values of these rows.
- Pick a uniformly random set
of
rows of
and perform the pivoted QR factorization to
. Define
to be the submatrix of
that consists of
these columns and set
with
to be the
corresponding
values of these columns.
- Set the middle matrix
where
stands for the pseudoinverse.
- Combining the result of the previous three steps gives the
required separated representation
.
The algorithm does not require, at any step, access to the full matrix
, only to its selected rows and columns. Once the
decomposition is complete, it can be used at every time step during
the wave extrapolation process. In multiple-core implementations, the
matrix operations in equation (12) are easy to
parallelize. The algorithm details are outlined in the appendix.
The cost of the algorithm is
operations per time
step, where
refers to the cost of the Fourier
transform. In comparison, the cost of finite-difference wave
extrapolation is
, where
is the size of the
finite-difference stencil. Song et al. (2011) present an application of the proposed
lowrank approximation algorithm for devising accurate
finite-different schemes. There is a natural trade-off in the
selection of
: larger values lead to a more accurate wave
representation but require a longer computational time. In the
examples of the next section, we select these parameters based on an
estimate of the approximation accuracy and generally aiming for the
relative accuracy of
. The resulting
is typically
smaller than the number of Fourier transforms required for
pseudo-spectral algorithms such as pseudo-spectral implementations of
the rapid expansion method (Pestana and Stoffa, 2011).
 |
 |
 |
 | Seismic wave extrapolation using lowrank symbol approximation |  |
![[pdf]](icons/pdf.png) |
Next: EXAMPLES
Up: Fomel, Ying, & Song:
Previous: WAVE EXTRAPOLATION
2013-08-31