 |
 |
 |
 | Theory of interval traveltime parameter estimation in layered anisotropic media |  |
![[pdf]](icons/pdf.png) |
Next: Discussion
Up: Sripanich & Fomel: Interval
Previous: Comparison of interval parameter
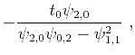
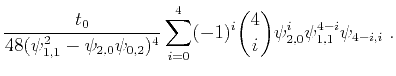
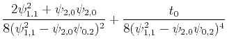
In this section, we specify the exact expressions for the coefficients of the traveltime expansion in the case of a stack of azimuthally rotated orthorhombic layers. The following formulas are a specification of the general coefficient formulas for such coefficients given in equations 25 and 26. The quadratic and quartic terms in the traveltime expansion become
 |
(66) |
and,
 |
(67) |
Here
,
,
are additional coefficients that become equal to zero in the previous case of aligned orthorhombic layers. We consider again equations 9 and 10 and an azimuthally rotated orthorhombic medium. Table 4 lists the nonzero derivatives of half-offset
anf
and time
at the zero offset.
Derivatives of
|
Derivatives of
|
Derivatives of
|
|
|
|
|
|
|
|
|
|
|
|
|
|
|
|
|
|
|
|
|
|
Table 4. Nonzero half-offset and one-way traveltime derivatives with respect to
and
in the case of azimuthally rotated orthorhombic layers.
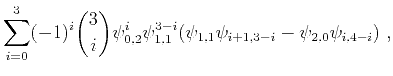
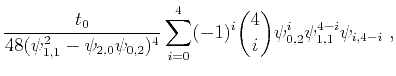
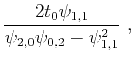
We simplify the expressions for coefficients using the same arguments as before and rewrite them in terms of
coefficients from equation 42 as follows:
and
Their explicit expressions under the pseudoacoustic approximation are given by Stovas (2015).
Note that, in the case of aligned orthorhombic layers,
, which reduces equations 68-75 to equations 43-47 with
. The exact componentwise expressions for interval parameters can be obtained as in the previous section but with added complexity. Therefore, we prefer instead to use the simpler general interval expression derived in equation 34. It is important to emphasize that the general formulas (equations 30-34) are applicable to any kind of anisotropy thanks to the use of the tensor notation.
 |
 |
 |
 | Theory of interval traveltime parameter estimation in layered anisotropic media |  |
![[pdf]](icons/pdf.png) |
Next: Discussion
Up: Sripanich & Fomel: Interval
Previous: Comparison of interval parameter
2017-04-14