Reflection traveltime

Reflection traveltimes (moveout) are commonly expressed as a Taylor series of two-way traveltime squared around zero offset with only even powers (Taner and Koehler, 1969). Assuming pure-mode reflections with source-receiver reciprocity and symmetric raypaths between the incident and the reflected waves around zero offset in 1D media, we can construct a two-way reflection traveltime approximation by adding two one-way traveltime approximations (from $-h$ and $+h$) as follows (Thomsen, 2014; Sripanich and Fomel, 2016; Tsvankin, 2012):

$\displaystyle 2 t (h) = 2 T + h^2 \left.\left(\frac{\partial^2 t}{\partial h^2 ...
...t.\left(\frac{\partial^4 t}{\partial h^4 }\right)\right\rvert_{h=0} + \cdots ~.$ (27)

We follow the same notation as in the main text and use $T$ to denote one-way zero-offset traveltime. Equation (27) can be converted to a more commonly known series in two-way traveltime squared in terms of full offsets ($2h$) as follows:

$\displaystyle 4 t^2 ( 2h ) \approx 4 T^2 + a_2 (2 h)^2 + a_4 (2 h)^4~,$ (28)

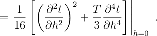
where $a_2$ and $a_4$ are coefficients related to the NMO velocity and the quartic coefficient, respectively. Both parameters can be expressed in terms of the derivative of one-way traveltime around zero offset as follows (Al-Dajani and Tsvankin, 1998; Sripanich and Fomel, 2016):

$\displaystyle a_2$ $\displaystyle =\left.T \frac{\partial^2 t}{\partial h^2 }\right\rvert_{h=0}~,$ (29)
$\displaystyle a_4$ $\displaystyle = \left. \frac{1}{16}\left[ \left(\frac{\partial^2 t}{\partial h^...
...^2 + \frac{T}{3} \frac{\partial^4 t}{\partial h^4 } \right]\right\rvert_{h=0}~.$ (30)

We emphasize that two important assumptions are made in the derivation so far:

  1. We only consider pure-mode reflections with source-receiver reciprocity.
  2. The incident and reflected raypaths are symmetric around zero offset.
Except for some special configurations, the first assumption is generally absent in consideration of converted waves and the series of reflection traveltime will also contain terms with odd powers (Tsvankin and Grechka, 2011; Thomsen, 2014; Koren and Ravve, 2017). On the other hand, the second assumption ensures the absence of reflection dispersal, which in turn, suggests that zero offset corresponds to the vertical ray. When this assumption does not hold, the fourth-order reflection traveltime coefficient ($a_4$) becomes more complex than what is shown in equation (30) (Koren and Ravve, 2017; Pech et al., 2003). Grechka and Tsvankin (1998) emphasized that reflection dispersal has no effect on NMO velocity related to equation (29) (Hubral and Krey, 1980). It becomes important only when considering higher-order traveltime coefficients such as $a_4$ in equation (30).

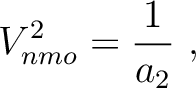
In this paper, we only utilize the relationship between the reflection traveltime coefficients ($a_2$) and the second-order derivative of the one-way traveltime of the fictional normal-incidence ray in equation (29), which is not affected by reflection dispersal. Therefore, NMO velocity can be computed from

$\displaystyle V^2_{nmo} = \frac{1}{a_2}~,$ (31)

as shown in equation (6). However, we emphasize the importance of the aforementioned assumptions and advise careful consideration when extending our framework to study higher-order reflection traveltime coefficients such as $a_4$.


2024-07-04