next up previous [pdf]

Next: Conclusions Up: Sava & Fomel: Spectral Previous: Spectral factorization

A comparison with the Wilson-Burg method

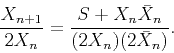
For reasons of symmetry, we can take Newton's relation from Table 3

\begin{displaymath}X_{n+1} =\frac{S+X_n \bar X_n}{2\bar X_n}\end{displaymath}

and convert it to

\begin{displaymath}\frac{X_{n+1}}{2 X_n} =
\frac{S+X_n \bar X_n}{(2 X_n) (2\bar X_n)}. \end{displaymath}

We can then consider a symmetrical relation where on the left side we insert the anticausal part of the spectrum, and obtain

\begin{displaymath}\frac{\bar X_{n+1}}{2 \bar X_n} =
\frac{S+X_n \bar X_n}{(2 X_n) (2\bar X_n)}. \end{displaymath}

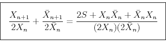
Finally, we can sum the preceding two equations and get
\begin{displaymath}\fbox{$ \displaystyle
\frac{X_{n+1}}{2 X_n} + \frac{\bar X_{n...
...\frac{2S+ X_n \bar X_n + \bar X_n X_n}{(2 X_n) (2\bar X_n)}
$} \end{displaymath} (9)

which can easily be shown to be equivalent to the Wilson-Burg relation
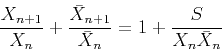
\begin{displaymath}
\frac{X_{n+1}}{X_n} + \frac{\bar X_{n+1}}{\bar X_n} =
1 + \frac{S}{ X_n \bar X_n}
\end{displaymath} (10)

In an analogous way, we can take the general relation from Table 3

\begin{displaymath}X_{n+1} =\frac{S+X_n \bar G}{\bar X_n+\bar G} \end{displaymath}

and convert it to

\begin{displaymath}\frac{X_{n+1}}{X_n + G} =
\frac{S+X_n \bar G}{(X_n + G) (\bar X_n + \bar G)}\end{displaymath}

We can then consider a symmetrical relation where on the left side we insert the anticausal part of the spectrum, and obtain

\begin{displaymath}\frac{\bar X_{n+1}}{\bar X_n + \bar G} =
\frac{S+\bar X_n G}{(X_n + G) (\bar X_n + \bar G)}\end{displaymath}

Finally, we can sum the preceding two equations and get
\begin{displaymath}
\fbox{$ \displaystyle
\frac{X_{n+1}}{X_n + G} + \frac{\bar X...
...{2S+X_n \bar G + \bar X_n G}{(X_n + G) (\bar X_n + \bar G)}
$} \end{displaymath} (11)

Equation (11) represents our general formula for spectral factorization. If we consider the particular case when $G$ is $X_n$, we obtain equation (10), which we have shown to be equivalent to the Wilson-Burg formula.

From the computational standpoint, our equation is more expensive than the Wilson-Burg because it requires two more convolutions on the numerator of the right-hand side. However, our equation offers more flexibility in the convergence rate. If we try to achieve a quick convergence, we can take $G$ to be $X_n$ and get the Wilson-Burg equation. On the other hand, if we worry about the stability, especially when some of the roots of the auto-correlation function are close to the unit circle, and we fear losing the minimum-phase property of the factors, we can take $G$ to be some damping function, more tolerant of numerical errors.

Moreover, by using the Equation (11), we can achieve fast convergence in cases when the auto-correlations we are factorizing have a very similar form, for example, in nonstationary filtering. In such cases, the solution at the preceding step can be used as the $G$ function in the new factorization. Since $G$ is already very close to the solution, the convergence is likely to occur quite fast.


next up previous [pdf]

Next: Conclusions Up: Sava & Fomel: Spectral Previous: Spectral factorization

2013-03-03