next up previous [pdf]

Next: A comparison with the Up: Sava & Fomel: Spectral Previous: The convergence rate

Spectral factorization

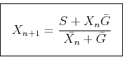
We can now extend the equations derived for real numbers to polynomials of Z, with $Z=e^{i\omega t}$, and obtain spectral factorization algorithms similar to the Wilson-Burg method (Sava et al., 1998), as follows:
\begin{displaymath}
\fbox{$ \displaystyle
X_{n+1}=\frac{S+X_{n} \bar{G}}{ \bar{X_n} + \bar{G}}
$} \end{displaymath} (8)

If $L$ represents the limit of the series in (8),

\begin{displaymath}L \bar{L} + L \bar{G} = S + L \bar{G} \end{displaymath}

and so

\begin{displaymath}L \bar{L} = S\end{displaymath}

Therefore, $L$ represents the causal or anticausal part of the given spectrum $S=X\bar{X}$.

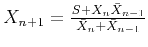
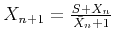
Table 3 summarizes the spectral factorization relationships equivalent to those established for real numbers in Table 1.

Table 3: Spectral factorization
General $X_{n+1} =\frac{S+X_n \bar G }{ \bar X_n+\bar G }$
Muir $X_{n+1} =\frac{S+X_n }{ \bar X_n+1 }$
Secant $X_{n+1} =\frac{S+X_n \bar X_{n-1}}{ \bar X_n+\bar X_{n-1}}$
Newton $X_{n+1} =\frac{S+X_n \bar X_n }{2\bar X_n }$
Ideal $X_{n+1} =\frac{S+X_n\sqrt{S} }{ \bar X_n+\sqrt{S} }$

The convergence properties are similar to those derived for real numbers. As shown above, the Newton-Raphson method should have the fastest convergence.


next up previous [pdf]

Next: A comparison with the Up: Sava & Fomel: Spectral Previous: The convergence rate

2013-03-03