 |
 |
 |
 | Shaping regularization in geophysical estimation problems |  |
![[pdf]](icons/pdf.png) |
Next: Examples
Up: Fomel: Shaping regularization
Previous: Shaping regularization in theory
The idea of triangle smoothing can be generalized to produce different shaping
operators for different applications. Let us assume that the estimated model
is organized in a sequence of records, as follows:
.
Depending on the application, the records can be samples, traces, shot
profiles, etc. Let us further assume that, for each pair of neighboring
records, we can design a prediction operator
,
which predicts record
from record
. A global prediction operator is
then
![\begin{displaymath}
\mathbf{Z} = \left[\begin{array}{cccccc}
0 & 0 & 0 & \cd...
... \mathbf{Z}_{n-1 \rightarrow n} & 0 \\
\end{array}\right]\;.
\end{displaymath}](img48.png) |
(14) |
The operator
effectively shifts each record to the next one. When
local prediction is done with identity operators, this operation is completely
analogous to the
operator used in the theory of digital signal processing.
The
operator can be squared, as follows:
![\begin{displaymath}
\mathbf{Z}^2 = \left[\begin{array}{cccccc}
0 & 0 & \cdot...
...{Z}_{n-2 \rightarrow n-1} &
0 & 0 \\
\end{array}\right]\;.
\end{displaymath}](img50.png) |
(15) |
In a shorter notation, we can denote prediction of record
from record
by
and write
![\begin{displaymath}
\mathbf{Z}^2 = \left[\begin{array}{cccccc}
0 & 0 & \cdot...
...thbf{Z}_{n-2 \rightarrow n} & 0 & 0 \\
\end{array}\right]\;.
\end{displaymath}](img54.png) |
(16) |
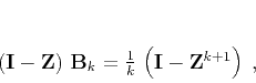
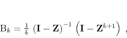
Subsequently, the prediction operator
can be taken to higher
powers. This leads immediately to an idea on how to generalize box smoothing:
predict each record from the record immediately preceding it, the record two
steps away, etc. and average all those predictions and the actual records. In
mathematical notation, a box shaper of length
is then simply
 |
(17) |
which is completely analogous to equation 7.
Implementing equation 17 directly requires many
computational operations. Noting that
 |
(18) |
we can rewrite equation 17 in the compact form
 |
(19) |
which can be implemented economically using recursive inversion of the lower
triangular operator
. Finally, combining two
generalized box smoothers creates a symmetric generalized triangle shaper
 |
(20) |
which is analogous to equation 8. A triangle shaper uses
local predictions from both the left and the right neighbors of a
record and averages them using triangle weights.
|
|---|
tris
Figure 3. Shaping by smoothing along local dip
directions according to operator from
equation 20. a: an example image, b: local dip estimation,
c: smoothing random numbers along local dips, d: impulse responses
of oriented smoothing for nine different locations in the image
space.
|
|---|
|
|---|
Figure 3 illustrates generalized triangle shaping by
constructing a non-stationary smoothing operator that follows local
structural dips. Figure 3a shows a synthetic image from
Claerbout (2006). Figure 3b is a local dip estimate obtained
with plane-wave destruction
(Fomel, 2002). Figure 3c is the result of
applying triangle smoothing oriented along local dip directions to a
field of random numbers. Oriented smoothing generates a pattern
reflecting the structural composition of the original image. This
construction resembles the method of
Claerbout and Brown (1999). Figure 3d shows the impulse
responses of oriented smoothing for several distinct locations in the
image space. As illustrated later in this paper, oriented smoothing
can be applied for generating geophysical Earth models that are
compliant with the local geological structure (Sinoquet, 1993; Clapp et al., 2004; Versteeg and Symes, 1993).
Appendix B describes general rules for combining elementary shaping operators.
 |
 |
 |
 | Shaping regularization in geophysical estimation problems |  |
![[pdf]](icons/pdf.png) |
Next: Examples
Up: Fomel: Shaping regularization
Previous: Shaping regularization in theory
2013-03-02