next up previous [pdf]

Next: Numerical Examples Up: Song & Alkhalifah: Orthorhombic Previous: Tilted Orthorhombic Anisotropy

Lowrank Approximation

For orthorhombic media, the mixed-domain phase operator, $\phi$, is given by equation 12. Considering inhomogeneous media, we choose lowrank approximation (Fomel et al., 2010,2012) to implement the mixed-domain operator.

Fomel et al. (2010,2012) showed that mixed-domain matrix $W(\mathbf{x},\mathbf{k})=\cos(\phi(\mathbf{x},\mathbf{k})\Delta t)$, which appears in wavefield extrapolation, can be decomposed using a separable representation:

\begin{displaymath}
W(\mathbf{x},\mathbf{k}) \approx \sum\limits_{m=1}^M \sum...
... W(\mathbf{x},\mathbf{k}_m) a_{mn} W(\mathbf{x}_n,\mathbf{k}).
\end{displaymath} (15)

$W(\mathbf{x},\mathbf{k}_m)$ is a submatrix of $W(\mathbf{x},\mathbf{k})$ that consists of a few columns associated with ${\mathbf{k}_m}$, $W(\mathbf{x}_n,\mathbf{k})$ is another submatrix that contains some rows associated with ${\mathbf{x}_n}$, and $a_{mn}$ stands for the coefficients. The construction of the separated form 15 follows the method of Engquist and Ying (2009). The main observation is that the columns of $W(\mathbf{x},\mathbf{k}_m)$ are able to span the column space of the original matrix and that the rows of $W(\mathbf{x}_n,\mathbf{k})$ can span the row space as well as possible.

In the case of smooth models, the mixed-domain operator can be decomposed by a low-rank approximation. In models with serious roughness and randomness, the time step may be restricted to small values or otherwise; the rank will end up high. As a result, the computational cost maybe high.

To perform a linear-time lowrank decompositon as proposed by Fomel et al. (2012), we first need to restrict the mixed-domain $\mathbf{W}$ to $n$ randomly selected rows. In practice, $n$ can be scaled as $O(r \log N_x)$ and $r$ is the numerical rank of $\mathbf{W}$. Then, we perform pivoted QR algorithm (Golub and Van Loan, 1996) to find the corresponding columns for $W(\mathbf{x},\mathbf{k}_m)$. To find the rows for $W(\mathbf{x}_n,\mathbf{k})$, we apply the pivoted QR algorithm to $\mathbf{W}^*$.

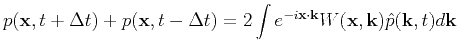
Representation 15 speeds up the computation of $p(\mathbf{x},t+\Delta t)$ because

$\displaystyle p(\mathbf{x},t+\Delta t) + p(\mathbf{x},t-\Delta t) = 2 \int e^{-...
...} \cdot \mathbf{k}} W(\mathbf{x},\mathbf{k}) \hat{p}(\mathbf{k},t) d \mathbf{k}$      
$\displaystyle \approx 2 \sum\limits_{m=1}^M W(\mathbf{x},\mathbf{k}_m) \left( \...
...} W(\mathbf{x}_n,\mathbf{k}) \hat{p}(\mathbf{k},t) d\mathbf{k} \right) \right).$     (16)

Evaluation of the last formula requires $N$ inverse FFTs. Correspondingly, with lowrank approximation, the cost can be reduced to $O(NN_x\log N_x)$, where $N_x$ is the model size and $N$ is a small number, related to the rank of the above decomposition and it is automatically calculated for some given error level ( $10^{-5}$ ) with a pre-determined $\Delta t$.

Figure 1(a)-1(c) shows an orthorhombic model with smoothly varying velocity - $v_1$: 1500-3088 m/s, $v_2$: 1500-3686 m/s, $v_v$: 1500-3474 m/s, $\eta_1=0.3$, $\eta_2=0.1$, and $\gamma=1.03$. The time step $\Delta t=4 ms$. Figure 2 display error of lowrank decomposition for $\cos(\phi \Delta t)$ at the location (-1.925 km, -1.925 km, -1.925 km) with relatively high velocity values, $v_1=2.257$ km/s, $v_2=2.534$ km/s, $v_v=2.438$ km/s. One can find the error level is around $10^{-5}$. Figure 3 display error of lowrank decomposition for $\cos(\phi \Delta t)$ at the location (0.575 km, 0.575 km, 0.575 km) with relatively low velocity values, $v_1=1.544$ km/s, $v_2=1.561$ km/s, $v_v=1.554$ km/s. One can find the error is also well controlled.

velxfig velyfig velzfig
velxfig,velyfig,velzfig
Figure 1.
An orthorhombic model with smoothly varying velocity: (a) $v_1$: 1500-3088 m/s; (b) $v_2$: 1500-3686 m/s; (c) $v_v$: 1500-3474 m/s.
[pdf] [pdf] [pdf] [png] [png] [png] [scons]

errfig1
errfig1
Figure 2.
Error plot for the lowrank approximation for $\cos(\phi \Delta t)$ at the location (-1.925 km, -1.925 km, -1.925 km) with relatively high velocity values, $v_1=2.257$ km/s, $v_2=2.534$ km/s, $v_v=2.438$ km/s.
[pdf] [png] [scons]

errfig3
errfig3
Figure 3.
Error plot for the lowrank approximation for $\cos(\phi \Delta t)$ at the location (0.575 km, 0.575 km, 0.575 km) with relatively low velocity values, $v_1=1.544$ km/s, $v_2=1.561$ km/s, $v_v=1.554$ km/s.
[pdf] [png] [scons]

We propose using the above lowrank approximation algorithm to handle mixed-domain operator $\phi$ in equation 12 for wave extrapolation in orthorhombic media.


next up previous [pdf]

Next: Numerical Examples Up: Song & Alkhalifah: Orthorhombic Previous: Tilted Orthorhombic Anisotropy

2013-06-25