 |
 |
 |
 | Generalized nonhyperbolic moveout approximation |  |
![[pdf]](icons/pdf.png) |
Next: Nonzero-offset ray
Up: General method for parameter
Previous: General method for parameter
The Taylor expansion of approximation 2 around the zero offset
 |
(18) |
provides a convenient method for evaluating coefficients
,
,
and
by matching expansion 18 to the corresponding
expansion of the exact traveltime. This is the method used previously
for deriving approximations 11 and 12.
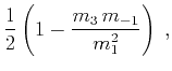
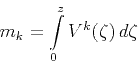
In the special case of an isotropic
medium,
the coefficients are readily available and reduce to statistical
averages of the velocity distribution (Bolshykh, 1956)
where
Equations 19-21 are easily extensible to the
vertical transverse isotropy (VTI) case
(Ursin and Stovas, 2006; Lyakhovitsky and Nevskiy, 1971; Alkhalifah, 1997b; Blias, 1983).
 |
 |
 |
 | Generalized nonhyperbolic moveout approximation |  |
![[pdf]](icons/pdf.png) |
Next: Nonzero-offset ray
Up: General method for parameter
Previous: General method for parameter
2013-03-02