 |
 |
 |
 | Fourier pseudo spectral method for attenuative simulation with fractional Laplacian |  |
![[pdf]](icons/pdf.png) |
Next: Bibliography
Up: Fourier pseudo spectral method
Previous: Conclusion
.
One of the easiest absorbing boundary condtion (ABC) is sponge (or referred to as Gaussian taper) boundary condition proposed by [Cerjan et al.(1985)Cerjan, Kosloff, Kosloff, and
Reshef]. The principle is very simple: Attenuating the refections exponentially in the extended artificial boundary (Figure 2) area by multiplying a factor less
than 1, i.e.,
where
is the thickness of the artificial boundary on each side of the model. A usual choice is
for
absorbing layers. The sponge ABC can be easily applied to a wide range of wave propagation problems, including some governing wave equations for complicated medium.
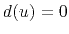
extbndrwidth=0.6A schematic diagram of extended artificial boundary area.
is the original model zone, which is extended to be
with artificial boundary. In the extended bounary area, the attenuation coeffcient
; In the model zone
,
,
.
 |
 |
 |
 | Fourier pseudo spectral method for attenuative simulation with fractional Laplacian |  |
![[pdf]](icons/pdf.png) |
Next: Bibliography
Up: Fourier pseudo spectral method
Previous: Conclusion
2021-08-31