next up previous [pdf]

Next: Removing of the residual Up: Pseudo-pure-mode qSV-wave equation Previous: Pseudo-pure-mode qSV-wave equation

Derivation of pseudo-pure-mode qSV-wave equation

For the qSV-wave, we should essentially build a projection from the elastic wavefields $ \widetilde{\mathbf{u}}=(\widetilde{u}_x,\widetilde{u}_y,\widetilde{u}_z)^{\top}$ to a pseudo-pure-mode wavefield $ \widetilde{\overline{\mathbf{u}}}=(\widetilde{\overline{u}}_x,\widetilde{\overline{u}}_y,
\widetilde{\overline{u}}_z)^{\top}$ . Naturally, we may introduce the following similarity transformation to the Christoffel matrix, i.e.,

$\displaystyle \widetilde{\overline{\mathbf{\Gamma}}}_\mathbf{n}=\mathbf{N}\widetilde{\mathbf{\Gamma}}\mathbf{N}^{-1},$ (19)

with the intuitive projection matrix $ \mathbf{N}$ defined by the reference polarization direction $ \mathbf{e}_3$ :

$\displaystyle \mathbf{N}= \begin{pmatrix}{k_xk_z} & 0 &0 \cr 0 & {k_yk_z} &0 \cr 0 & 0 & {-(k^2_x+k^2_y)}\end{pmatrix},$ (20)

or its normalized form. However, the resulting pseudo-pure-mode wave equation is very complicated and contains mixed derivatives of time and space. To keep them simple, an intermediate wavefield $ {\widetilde{\overline{\mathbf{u}}}}'=(\widetilde{u}_x,\widetilde{u}_y,{\widetilde{u}}'_z)^{\top}$ is defined by

$\displaystyle \qquad \widetilde{\overline{u}}_z=(k^2_x+k^2_y){\widetilde{\overline{u}}}'_z.$ (21)

So we project the vector displacement wavefields using:

$\displaystyle {\widetilde{\overline{\mathbf{u}}}}' = {\mathbf{N}}'\widetilde{\mathbf{u}},$ (22)

with an intermediate projection matrix:

$\displaystyle {\mathbf{N}}'= \begin{pmatrix}{k_xk_z} & 0 &0 \cr 0 & {k_yk_z} &0 \cr 0 & 0 & -1\end{pmatrix}.$ (23)

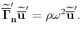
Accordingly, we apply the similarity transformation using $ {\mathbf{N}}'$ to equation 3 and finally get an equivalent Christoffel equation:

$\displaystyle {\widetilde{\overline{\mathbf{\Gamma}}}}'_\mathbf{n}{\widetilde{\overline{\mathbf{u}}}}' = \rho{\omega}^2{\widetilde{\overline{\mathbf{u}}}}'.$ (24)

with $ {\widetilde{\overline{\mathbf{\Gamma}}}}'_\mathbf{n}={\mathbf{N}}'\widetilde{\mathbf{\Gamma}}(\mathbf{N}')^{-1}$ .

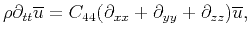
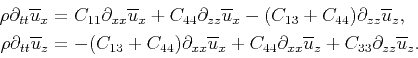
For a locally smooth medium, applying an inverse Fourier transformation to equation 24, we obtain another coupled forth-order linear system:

$\displaystyle \rho\partial_{tt}{\overline{\mathbf{u}}}'={\overline{\mathbf{\Gamma}}}'_\mathbf{n}{\overline{\mathbf{u}}}',$ (25)

or in its extended form:

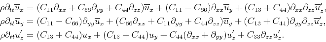
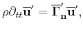
\begin{displaymath}\begin{split}\rho\partial_{tt}\overline{u}_x&=(C_{11}\partial...
...verline{u}'_z+C_{33}\partial_{zz}{\overline{u}}'_z. \end{split}\end{displaymath} (26)

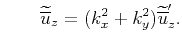
where $ {\overline{\mathbf{u}}}'=(\overline{u}_x,\overline{u}_y,{\overline{u}}'_z)^{\top}$ is an intermediate wavefield in the time-space domain, and $ {\overline{\mathbf{\Gamma}}}'_\mathbf{n}$ represents the corresponding Christoffel differential-operator matrix after the similarity transformation. The intermediate wavefield has the same horizontal components but a different vertical component of the pseudo-pure-mode wavefield $ \overline{\mathbf{u}}=(u_x, u_y,
u_z)^{\top}$ . Equation 21 indicates that the vertical component satisfies:

$\displaystyle \overline{u}_z=-(\partial_{xx}+\partial_{yy}){\overline{u}}'_z.$ (27)

Due to the symmetry property of a VTI material, we may sum the horizontal components and replace the vertical component with the relation given in equation 27, and finally obtain a simpler second-order system that honors the kinematics of both qP- and qSV-waves:

\begin{displaymath}\begin{split}\rho\partial_{tt}\overline{u}_{xy}&=C_{11}(\part...
...})\overline{u}_z+C_{33}\partial_{zz}\overline{u}_z, \end{split}\end{displaymath} (28)

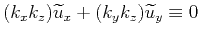
with $ \overline{u}_{xy}=\overline{u}_x+\overline{u}_y$ . Note that pure SH-waves always polarize in the planes perpendicular to the symmetry axis with the polarization direction indicated by $ \mathbf{e}_2$ , which implies $ (k_xk_z)\widetilde{u}_{x}+(k_yk_z)\widetilde{u}_{y}\equiv0$ , i.e., $ \overline{u}_{xy}\equiv0$ , for the SH-wave. Therefore, the partial summation (after the similarity transformation) automatically removes the SH component from the transformed wavefields. As a result, there are no terms related to $ C_{66}$ any more in equation 28. In order to produce a pseudo-pure-mode scalar qSV-wave field, we sum all components of the transformed wavefields, namely

$\displaystyle \overline{u}=\overline{u}_{xy}+\overline{u}_{z}.$ (29)

For a 2-D VTI medium, equation 28 reduces to the following form:

\begin{displaymath}\begin{split}\rho\partial_{tt}\overline{u}_x&=C_{11}\partial_...
...x}\overline{u}_z+C_{33}\partial_{zz}\overline{u}_z. \end{split}\end{displaymath} (30)

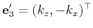
In fact, we can derive the same pseudo-pure-mode wave equation for a 2-D qSV-wave by projecting the 2-D Christoffel matrix onto a reference vector $ \mathbf{e}'_3=(k_z, -k_x)^{\top}$ . Similarly, a 2D pseudo-pure-mode scalar qSV-wave field is given by the summation: $ \overline{u}=\overline{u}_{x}+\overline{u}_{z}$ .

If we apply the isotropic assumption by setting $ C_{11}=C_{33}$ and $ C_{13}+C_{44}=C_{33}-C_{44}$ , and sum the two equations in equation 28, we get the scalar wave equation:

$\displaystyle \rho{\partial_{tt}\overline{u}} = C_{44}(\partial_{xx}+\partial_{yy}+\partial_{zz}){\overline{u}},$ (31)

with $ \overline{u}=\overline{u}_{xy}+\overline{u}_{z}$ representing a shear wave field, and $ C_{44}=\rho{V_s}^2$ with $ V_s$ representing the propagation velocity of the isotropic shear wave.

The derived pseudo-pure-mode qSV-wave equations have some interesting and valuable features. First, the projection using matrix $ \mathbf{N}$ yields wave-mode separation to some extent, because the chosen projection direction, $ \mathbf{e}_3$ , represents the polarization direction of the SV-wave in an isotropic medium. As investigated by Tsvankin and Chesnokov (1990) and Psencik and Gajewski (1998), and also demonstrated in Figure 1b, the difference in polarization directions between isotropic and VTI media is generally quite small in most propagation directions for SV-waves. Therefore, considering the mode separator (namely equation 9) and the small projection deviation, summing all the pseudo-pure-mode wavefield components in equation 28 or 30 partially achieves wave-mode separation and produces a scalar wavefield dominated by the energy of qSV-waves. This will be demonstrated in the numerical examples. Second, the pseudo-pure-mode wave equations are easier to calculate than the original elastic wave equation because they have no terms of mixed partial derivatives. More importantly, the summation of the horizontal components further simplifies the wave equations and reduces the number of parameters needed for scalar qSV-wave extrapolation. These features are undoubtedly useful for performing multicomponent seismic imaging and inversion that mainly use wavefield kinematics when it is necessary to include anisotropy.


next up previous [pdf]

Next: Removing of the residual Up: Pseudo-pure-mode qSV-wave equation Previous: Pseudo-pure-mode qSV-wave equation

2016-10-14