next up previous [pdf]

Next: Uncertainty in velocity picking Up: Structural uncertainty of time-migrated Previous: Introduction

Velocity continuation and structural sensitivity

vlf
vlf
Figure 1.
Velocity continuation cube for prestack time migration of the Gulf of Mexico dataset.
[pdf] [png] [scons]

npk
npk
Figure 2.
Migration velocity picked from velocity continuation.
[pdf] [png] [scons]

bei-agc
bei-agc
Figure 3.
Seismic prestack time-migration image generated by velocity continuation.
[pdf] [png] [scons]

Velocity continuation is defined as the process of image transformation with changes in migration velocity (Fomel, 2003b,1994). Its output is equivalent to the output of repeated migrations with different migration velocities (Yilmaz et al., 2001) but produced more efficiently by using propagation of images in velocity (Hubral et al., 1996). If we denote the output of velocity continuation as $C(t,x,v)$, where $t$ and $x$ are time-migration coordinates and $v$ is migration velocity, the time-migrated image is simply

\begin{displaymath}
I(t,x) = C(t,x,v_M(t,x))\;,
\end{displaymath} (1)

where $v_M(t,x)$ is the picked migration velocity. Figure 1 shows the velocity continuation cube $C(t,x,v)$ generated from a benchmark 2-D dataset from the Gulf of Mexico (Claerbout, 2005). Migration velocity $v_M(t,x)$ picked from the semblance analysis is shown in Figure 2. The velocity variations reflect a dominantly vertical gradient typical for the Gulf of Mexico and only mild lateral variations, which justifies the use of prestack time migration. The corresponding migration image $I(t,x)$ is shown in Figure 3 and exhibits mild, nearly-horizontal reflectors and sedimentary structures.

slice tslice
slice,tslice
Figure 4.
Common-image gather (a) and time slice (b) from velocity continuation with overlaid time-migration velocity.
[pdf] [pdf] [png] [png] [scons]

bei-dtdv bei-dxdv
bei-dtdv,bei-dxdv
Figure 5.
Estimated structural sensitivity in time (a) and lateral position (b) with respect to velocity.
[pdf] [pdf] [png] [png] [scons]

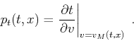
The structural sensitivity of an image can be described through derivatives $\partial t/\partial v$ and $\partial x/\partial v$, which correspond to slopes of events in the $C(t,x,v)$ volume evaluated at $v=v_M(t,x)$. These slopes are easy to measure experimentally from the $C(t,x,v_M)$ volume, using, for example, the plane-wave destruction algorithm (Chen et al., 2013a,b; Fomel, 2002). Figure 4 shows one common-image gather $G(t,v)=C(t,x_0,v)$ for $x_0=10\,\mbox{km}$ and the time slice $S(x,v)=C(t_0,x,v)$ for $t_0=2\,\mbox{s}$. Measuring the slope of events $\partial t/\partial v$ in this gather and evaluating it at the picked migration velocity produces the slope

\begin{displaymath}
p_t(t,x) = \left.\frac{\partial t}{\partial v}\right\vert _{v=v_M(t,x)}\;.
\end{displaymath} (2)

We measure the slope $p_x(t,x)$ analogously by evaluating local slopes in time slices of constant $t$:
\begin{displaymath}
p_x(t,x) = \left.\frac{\partial x}{\partial v}\right\vert _{v=v_M(t,x)}\;.
\end{displaymath} (3)

Figure 5 shows the estimated $p_t$ and $p_x$, which comprise the structural sensitivity of our image.

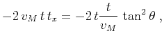
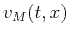
Theoretically, structural sensitivity can be inferred from the zero-offset velocity ray equations (Fomel, 2003b; Chun and Jacewitz, 1981)

$\displaystyle \displaystyle \frac{d t}{d v}$ $\textstyle =$ $\displaystyle v_M\,t\,t_x^2 = \frac{t}{v_M}\,\tan^2{\theta}\;,$ (4)
$\displaystyle \displaystyle \frac{d x}{d v}$ $\textstyle =$ $\displaystyle -2\,v_M\,t\,t_x = -2\,t\frac{t}{v_M}\,\tan^2{\theta}\;,$ (5)

where $t_x$ corresponds to the slope of the reflector, and $\theta$ is the reflector dip angle. According to equations 4-5, the reflector dip is the dominant factor in structural sensitivity.


next up previous [pdf]

Next: Uncertainty in velocity picking Up: Structural uncertainty of time-migrated Previous: Introduction

2013-12-07