 |
 |
 |
 | On anelliptic approximations for qP velocities in TI and orthorhombic media |  |
![[pdf]](icons/pdf.png) |
Next: Examples
Up: Proposed Approximations
Previous: Proposed Approximations
The group-velocity approximation in equation 24 can be easily converted into the corresponding moveout equation using the relationship between
offset (
), vertical distance (
), and total reflection traveltime (
) given by
 |
(31) |
where
is the depth of the reflector,
is the vertical two-way reflection traveltime, and V(
) is the approximated group velocity.
The moveout equation corresponding to equation 24 is thus,
 |
(32) |
where
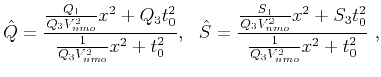
denotes the NMO-velocity (Alkhalifah and Tsvankin, 1995) and is given by
 |
(33) |
denotes the hyperbolic part of the reflection traveltime squared and is given by
 |
(34) |
Assuming a particular media type and using a linear relationship between
and
, we reduce the number of independent moveout parameters in the similar manner. However, note that
(equations 29) and
(equation 30) also depend on
and
. Therefore, to effectively reduce the number of parameters in the moveout approximation (equation 32) to three, we suggest, as an approximation, to adopt
only for equations 29 and 30, which lead to
 |
(35) |
As a result, the moveout approximation depends on
,
, and
.
For small offsets, the Taylor expansion of equation 32 is
 |
(36) |
which reduces to the expression given by Fomel (2004) by setting
. The asymptote of this expression for unbounded offset
is given by
 |
(37) |
which is the horizontal velocity squared.
In the Muir-Dellinger notation, another nonhyperbolic moveout approximation, the generalized nonhyperbolic moveout approximation (Stovas, 2010; Fomel and Stovas, 2010) can be expressed as
If the empirical assumption of
, or equivalently acoustic approximation is used, equation 38 reduces to the moveout approximation of Fomel (2004).
 |
 |
 |
 | On anelliptic approximations for qP velocities in TI and orthorhombic media |  |
![[pdf]](icons/pdf.png) |
Next: Examples
Up: Proposed Approximations
Previous: Proposed Approximations
2017-04-14