We first reformulate equation A-7 as
 |
(25) |
Inserting equation 8 into equation B-1, we can further derive
 |
(26) |
The SVD of
can be expressed as
![$\displaystyle \mathbf{M}^{(4)} = [\mathbf{U}_1^{M^{(4)}}\quad \mathbf{U}_2^{M^{...
...c}
(\mathbf{V}_1^{M^{(4)}})^H\\
(\mathbf{V}_2^{M^{(4)}})^H
\end{array}\right].$](img122.png) |
(27) |
Because equations B-3 and A-6 are both SVDs of
, we let
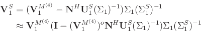
Inserting equations B-4 and B-6 into equation B-2, we can derive:
![$\displaystyle \mathbf{S} =\mathbf{U}_1^{M^{(4)}}\left\{\Sigma_1^{M^{(4)}}(\math...
...\Sigma_1(\mathbf{V}_1^{M^{(4)}})^H-\Sigma_1^S(\mathbf{V}_1^S)^H\right]\right\}.$](img129.png) |
(31) |
For simplification, we assume that there exist such
and
that
and
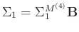
.
is a square matrix and
is a diagonal matrix. Then we can simplify
as:
where
is a unit matrix and here we name
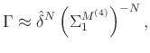
the damping operator.
From equation B-5,
.
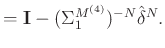
From equation B-6, it is straightforward to derive
 |
(34) |
where
satisfies that
. Considering
, then the following relation holds
 |
(35) |
where
.
Inserting equation B-11 and
into equation B-9, we can obtain a simplified formula:
 |
(36) |
Combing equations B-8 and B-12, we can conclude that the true signal is a damped version of the previous TSVD method (equation 8), with the damping operator defined by equation B-12. Right now, there is still one unknown parameter needed to be defined:
. Although we have a potential selection
, as defined during the derivation of
, we cannot calculate it because we do not know
and
. A very pleasant denoising performance can be obtained when
is chosen as
 |
(37) |
where
denotes the maximum element of
and
denotes the damping factor. We use such approximation because of three reasons. (1)
reflects the energy of random noise and
contains the information of signal. (2) Because the diagonal elements of
are in a descending order,
is certainly smaller than every diagonal element of
, and
, where
denotes
th diagonal entry in
. (3)
is zero in the zero random noise situation. Besides, we introduce the parameter
to control the strength of damping operator, the greater the
, the weaker the damping, and the damped MSSA reverts to the basic MSSA when
.
Combining equations B-8, B-12, and B-13, we conclude the approximation of
as:
2020-12-05