next up previous [pdf]

Next: A homogeneous model test Up: Alkhalifah: TI traveltimes in Previous: The TI eikonal and

Expansion in terms of $\theta $ and $\eta $

Though the expansion in terms of $\theta $ in the previous section allowed us to estimate traveltimes for a tilted symmetry axis, it also required that we solve the eikonal equation for a VTI medium, which is relatively challenging. For inversion purposes, it also required knowledge of $\eta $, which might not be possible in TI media using initially a VTI approximation, especially if the tilt is large. However, an expansion in $\eta $, in addition to $\theta $ (from their zero values), will result in an elliptically anisotropic background medium and it will allow us to search for both $\eta $ and $\theta $, simultaneously, considering that the elliptical anisotropy model is known.

The two-parameter expansion can be obtained by substituting the following trial solution:

\begin{displaymath}
\tau(x,z) \approx \tau_{0}(x,z) +\tau_{\eta}(x,z) \eta+\tau...
...eta}(x,z) \eta \sin\theta+ \tau_{\theta_2}(x,z) \sin^{2}\theta
\end{displaymath} (6)

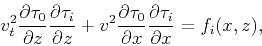
into equation 3 resulting in linear first-order partial differential equations having the following general form:
\begin{displaymath}
v_t^2 \frac{\partial \tau _{0}}{\partial z} \frac{\partial \...
...}}{\partial x} \frac{\partial \tau _i}{\partial x} =
f_i(x,z),
\end{displaymath} (7)

with $i=\eta,\theta,\eta_2,\eta \theta,\theta_2$, and $\tau_{0}$ satisfies the eikonal equation for an elliptical anisotropic background model. Again, the function $f_i(x,z)$ gets more complicated for $i$ corresponding to the second-order term and it depends on terms for the first order and background medium solutions. Therefore, these linear partial differential equations also must be solved in succession starting with $i=\eta$ and $i=\theta$. As soon as the $\tau_{\eta}$, and $\tau_{\eta_2}$ coefficients are evaluated, they can be used, as Alkhalifah (2010) showed, to estimate the traveltime using the first-sequence of Shanks transform (Bender and Orszag, 1978), and as shown in Appendix B, has the form:
\begin{displaymath}
\tau(x,z) \approx \tau_{0}(x,z)+ \tau_{\theta}(x,z) \sin\the...
...\tau_{\eta \theta}(x,z) \sin\theta -\eta \tau _{\eta_2}(x,z)}.
\end{displaymath} (8)

The $\theta $ expansion does not adapt well to the Shanks transform requirements for predicting the behavior of the higher-order terms in $\theta $. In this case, the second-order approximation in the $\theta $ expansion is sufficient.

For $\eta $ and $\theta $ scan applications, the coefficients ($\tau_{0}$, $\tau_{\eta}$, $\tau_{\theta}$, $\tau_{\eta_2}$, $\tau_{\eta \theta}$, and $\tau_{\theta_2}$) need to be evaluated only once and can be used with equation 8 to search for the best traveltime fit to those traveltimes extracted from the data.


next up previous [pdf]

Next: A homogeneous model test Up: Alkhalifah: TI traveltimes in Previous: The TI eikonal and

2013-04-02