next up previous [pdf]

Next: Application to field data Up: Methodology Previous: Time-frequency transform

The mapping operator

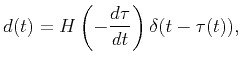
To illustrate the effect the mapping operator has on the computation of the instantaneous traveltime, we use the simple synthetic signal shown in Figure 2(a). This signal consists of three events at 0.4, 1.2 and 1.4 s. Figures 2(b) and 2(c) depict the time frequency representation of the test signal using the formulation of equation 8 and the computed $ \tau$ as a function of time and frequency. It is evident that for a significant part of the frequency band, $ \tau(t,\omega)$ is a smooth function of $ \omega$ ; in fact, it is almost constant. In particular, the three curves at about 0.4, 1.2 and 1.4 s are contour lines of $ \tau(t,\omega)=t$ . This means that for this particular time-frequency transformation, the mapping operator can be a simple averaging operator. It would be prudent, however, to average $ \tau(t,\omega)$ over the frequencies in the bandwidth of the signal.

syn ltf0 tt0
syn,ltf0,tt0
Figure 2.
(a) Synthetic signal. (b) Local $ t-f$ representation of the synthetic signal. (c) $ \tau (t,f)$ using the local $ t-f$ map. Contour lines denote values where $ \tau (t,f)=t$ and the transition through zero is from positive to negative values.
The dashed lines in (b) and (c) indicate the effective bandwidth (estimated using equation 11).
[pdf] [pdf] [pdf] [png] [png] [png] [scons]

For most data, the bandwidth of signals is varying with time. It therefore makes sense to estimate the effective bandwidth as a function of time. In order to choose the frequency band automatically, we suggest any data-driven criterion, such as an estimate of the instantaneous frequency or some weighted mean of the frequency. An obvious choice is

$\displaystyle \mu_\omega(t) = \frac{\displaystyle\int \omega\vert c(t,\omega)\vert d\omega}{\displaystyle\int\vert c(t,\omega)\vert d\omega},$ (9)

where $ c(t,\omega)$ are the time- and frequency-varying coefficients of the time-frequency transform, which we call local frequency. Equation 9 has been used by Lovell et al. (1993) as an estimate of the instantaneous frequency (Barnes, 1992; Taner et al., 1979) or the dominant frequency (Liu et al., 2011). Similarly, we can define an estimate of the variance of the local frequency as

$\displaystyle \sigma_\omega^2(t) = \frac{\displaystyle\int (\omega-\mu_\omega(t...
...t c(t,\omega)\vert d\omega}{\displaystyle\int \vert c(t,\omega)\vert d\omega}$ (10)

Having estimated the local frequency, $ \mu_\omega(t)$ , and its variance, $ \sigma_\omega^2(t)$ , we may now estimate the effective bandwidth, $ \mathrm{BW}(t)$ , as

$\displaystyle \mathrm{BW}(t) = [\mu_\omega(t)-\sigma_\omega(t),\mu_\omega(t)+\sigma_\omega(t)].$ (11)

In Figures 2(b) and 2(c), the dashed lines denote the effective bandwidth.

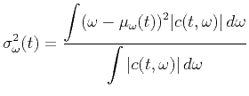
The result of the averaging operation is shown in Figure 3(b), in which $ \tau(t,\omega)$ is averaged over the frequencies in its effective bandwidth. (Figure 3(a) is the same as Figure 2(a) and shown here just to illustrate the agreement between the actual arrivals and the picked arrivals.) Parameter $ \tau (t)$ equals the recording $ t$ (dashed line) at the times of arrival of the spikes, namely at $ t_1=0.3996$ , 1.1991 and 1.3978 s. It should be noted that although there are actually no arrivals between two consecutive arrivals, $ \tau (t)$ is not zero in that interval. This is due to the smooth division we employed, when dividing $ \frac{dU}{d\omega}$ over $ U$ . Smooth division does not allow the result to vary erratically from sample to sample. Figure 3(c) shows the difference $ \tau (t)-t$ . This difference equals 0 at the times of arrival of the two spikes. However not all zeros of $ \tau (t)-t$ are of interest; rather, only the zero crossings from positive to negative values yield valid traveltimes. Positive maxima of $ \tau (t)-t$ (as in $ t\approx0.3, 1.1, 1.3$ ) denote an imminent arrival of a signal. Let's assume a strong (compared to neighboring events) event at some time $ t_0$ . According to equation 3, $ \tau (t)$ is a weighted some of the times of arrivals around $ t$ . The closer $ t$ is to the imminent arrival at $ t_0>t$ , the more the value of $ \tau (t)$ will be biased towards the value $ t_0$ . Therefore $ \tau (t)$ will be greater than $ t$ , i.e., $ t<\tau(t)<t_0$ . For $ t>t_0$ , the value of $ \tau (t)$ will still be biased towards $ t_0$ , therefore $ t_0<\tau(t)<t$ . In fact, the higher the energy of the arriving signal at some time $ t_0$ compared with that of neighboring events, the closer the value of $ \tau(t_0)$ to $ t_0$ will be. Accordingly, an event is identified by the non-zero values of the function

$\displaystyle d(t) = H\left(-\frac{d\tau}{dt}\right) \delta(t-\tau(t)),$ (12)

where $ H$ is the Heaviside step function and $ \delta$ is the Dirac delta. This function is zero if $ \tau(t)\neq t$ as imposed by the Dirac delta factor as well as if $ \tau(t)=t$ but $ \tau (t)$ is increasing as imposed by the Heaviside step factor.

syn0 taut0 tau-t0
syn0,taut0,tau-t0
Figure 3.
(a) Synthetic signal (sampling period is 4 ms). Arrivals are at 0.4, 1.2 and 1.4 s. (b) $ \tau (t)$ after averaging over the frequencies in the effective bandwidth. The dashed line indicates the recording time. (c) $ \tau (t)-t$ . Zero crossings occur at 0.3996, 1.1991 and 1.3978 s.
[pdf] [pdf] [pdf] [png] [png] [png] [scons]


next up previous [pdf]

Next: Application to field data Up: Methodology Previous: Time-frequency transform

2013-04-02