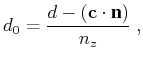
 |
 |
 |
 | A transversely isotropic medium with a tilted
symmetry axis normal to the reflector |  |
![[pdf]](icons/pdf.png) |
Next: Angle decomposition
Up: A transversely isotropic medium
Previous: Extended imaging condition
If we restrict the observation to the immediate vicinity of the
reflection point, which means that we consider the moveout surface in
a small range of lags, we can approximate the typical irregular
wavefront in complex media by a plane, although the shapes of
wavefronts are arbitrary in heterogeneous media. Following the
derivation of Yang and Sava (2009) and using the geometry shown
in Figure 2, the source and receiver plane waves are described
by:
where
and
are the unit direction vectors of the source and
receiver plane waves, respectively,
is the unit vector
orthogonal to the reflector at the image point, and vector
indicates the image point position.
is defined as the phase
velocity in the locally homogeneous medium around the reflection
point, and thus it is identical for both wavefields.
is half
the scattering angle (reflection angle).
We can also obtain the shifted source and receiver plane waves by
introducing the space- and time-lags
Solving the system of equations 10-11 leads to the
expression
 |
(12) |
which characterizes the moveout function (surface)
of space- and time-lags at a
common-image point.
Furthermore, we have the following relations for the reflection
geometry:
where
and
are unit vectors normal and parallel to the
reflection plane, respectively, and
is the reflection angle. Vector
characterizes the line representing the intersection of the
reflection and the reflector planes. Combining
equations 12-14, we obtain the moveout function for
plane waves:
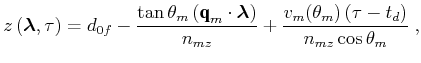
 |
(15) |
The quantity
is defined as
 |
(16) |
and represents the depth of the reflection corresponding to the chosen
2common-image gather (CIG) location. This quantity is invariant for different plane waves,
thus assumed constant here. The vector
is along the
Earth's surface given by
.
When incorrect velocity is used for imaging, and thus, an inaccurate
reflection angle is assumed, based on the analysis in the preceding
section, we can obtain the moveout function
 |
(17) |
where
is the focusing depth of the corresponding reflection
point,
is the migration velocity,
is the focusing error,
and
are vectors normal and parallel to the migrated
reflector, respectively. Equation 17 describes the extended
images moveout for a single seismic experiment and it is essentially
identical to the similar formula obtained by
Yang and Sava (2009) for isotropic media, but for using the phase velocity instead of the isotropic velocity.
 |
 |
 |
 | A transversely isotropic medium with a tilted
symmetry axis normal to the reflector |  |
![[pdf]](icons/pdf.png) |
Next: Angle decomposition
Up: A transversely isotropic medium
Previous: Extended imaging condition
2013-04-02