next up previous [pdf]

Next: Example 2: point diffractor Up: Offset continuation geometry: time Previous: Offset continuation geometry: time

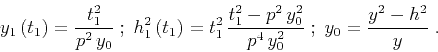
Example 1: plane reflector

The simplest and most important example is the case of a plane dipping reflector. Putting the origin of the $y$ axis at the intersection of the reflector plane with the surface, we can express the reflection traveltime after NMO in the form

\begin{displaymath}
\tau_n(y,h)=p\,\sqrt{y^2-h^2}\;,
\end{displaymath} (35)

where $p=2\,{ \sin{\alpha} \over v}$, and $\alpha$ is the dip angle. The zero-offset traveltime in this case is a straight line:
\begin{displaymath}
t_0\left(y_0\right)=p\,y_0\;.
\end{displaymath} (36)

According to equations (28-29), the time rays in this case are defined by
\begin{displaymath}
y_1\left(t_1\right)={t_1^2 \over {p^2\,y_0}}\;;\;
h_1^2\left...
...^2\,y_0^2} \over
{p^4\,y_0^2}}\;;\;
y_0={{y^2-h^2} \over y}\;.
\end{displaymath} (37)

The geometry of the OC transformation is shown in Figure 3.

ocopln
ocopln
Figure 3.
Transformation of the reflection traveltime curves in the OC process: the case of a plane dipping reflector. Left: Time coordinate before the NMO correction. Right: Time coordinate after NMO. The solid lines indicate traveltime curves at different common-offset sections; the dashed lines indicate time rays.
[pdf] [png] [sage]


next up previous [pdf]

Next: Example 2: point diffractor Up: Offset continuation geometry: time Previous: Offset continuation geometry: time

2014-03-26