 |
 |
 |
 | Wavefield Seismic Imaging tutorial:
``exploding reflector'' modeling/migration |  |
![[pdf]](icons/pdf.png) |
Next: Example
Up: Sava: WSI tutorial
Previous: Sava: WSI tutorial
The exploding reflector model, illustrated in Figure 1, allows us
to perform zero offset modeling and migration for models of arbitrary
complexity (Clærbout, 1985). Under this model, the image is
described as a collection of points which ``explode'', i.e. become
sources, at the same time arbitrarily set to be the time origin. Data
are obtained at the receivers by forward simulation of acoustic waves
from the exploding reflectors. Likewise, images are obtained by
backward simulation of acoustic waves from the observed data.
exprefwidth=The exploding reflector model (after
Clærbout (1985)).
Acoustic modeling and migration can be implemented using numeric
solutions to an acoustic wave-equation, for example a variable-density
wave-equation:
 |
(1) |
In Equation 1,
represents the acoustic wavefield,
and
represent the velocity and density of the medium,
respectively, and
represents a source function.
- In modeling, we use the distributed source
to
generate the wavefield
at all positions and all times by
wave propagation forward in time. The data represent a subset of the
wavefield observed at receivers distributed in the medium:
 |
(2) |
- In migration, we use the observed data
to
generate the wavefield
at all positions and all times by
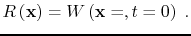
wave propagation backward in time. The image represents a subset of
the wavefield at time zero:
 |
(3) |
In both cases, we solve Equation 1 with different initial conditions,
but with the same model,
and
and with the same
boundary conditions.
 |
 |
 |
 | Wavefield Seismic Imaging tutorial:
``exploding reflector'' modeling/migration |  |
![[pdf]](icons/pdf.png) |
Next: Example
Up: Sava: WSI tutorial
Previous: Sava: WSI tutorial
2014-04-15