next up previous [pdf]

Next: Bibliography Up: Liu etc.: Structurally nonlinear Previous: Appendix A: Similarity-mean filter

Appendex B: Lower-upper-middle filter

In this appendix, we review lower-upper-middle (LUM) filters introduced by Hardie and Boncelet (1993). Consider a window function containing a set of $N$ samples centered about the sample $x^{\star}$. We assume $N$ to be odd. This set of observations will be denoted by $\{x_1,x_2,\cdots,x_N\}$. The rank-ordered set can be written as

\begin{displaymath}
x_{(1)} \le x_{(2)} \le \cdots \le x_{(N)}\,.
\end{displaymath} (12)

The estimate of the center sample will be denoted $y^{\star}$.

Lower-upper-middle smoother

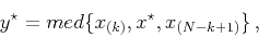
Lower-upper-middle (LUM) smoother is equivalent to center-weighted medians (Justusson, 1981). The output of the LUM smoother with parameter $k$ is given by
\begin{displaymath}
y^{\star} = med \{x_{(k)},x^{\star},x_{(N-k+1)}\}\,,
\end{displaymath} (13)

where $1 \le k \le (N+1)/2$.

Thus, the output of the lower-upper-middle (LUM) smoother is $x_{(k)}$ if $x^{\star} < x_{(k)}$. If $x^{\star} > x_{(N-k+1)}$, then the output of the LUM smoother is $x_{(N-k+1)}$. Otherwise the output of the LUM smoother is simply $x^{\star}$.

Lower-upper-middle sharpener

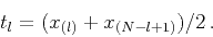
We can define a value centered between the lower- and upper-order statistics, $x_{(l)}$ and $x_{(N-l+1)}$. This midpoint or average, denoted $t_l$, is given by
\begin{displaymath}
t_l = (x_{(l)}+x_{(N-l+1)})/2\,.
\end{displaymath} (14)

Then, the output of the lower-upper-middle (LUM) sharpener with parameter $l$ is given by


\begin{displaymath}
y^{\star} = \left\{ \begin{array}{ll} x_{(l)}, &
\textrm{i...
...+1)}$}\\ x^{\star} & \textrm{otherwise}
\end{array} \right..
\end{displaymath} (15)

Thus, if $x_{(l)}<x^{\star}<x_{(N-l+1)}$, then $x^{\star}$ is shifted outward to $x_{(l)}$ or $x_{(N-l+1)}$ according to which is closest to $x^{\star}$. Otherwise the sample $x^{\star}$ is unmodified. By changing the parameter $l$, various levels of sharpening can be achieved. In the case where $l=(N+1)/2$, no sharpening occurs and the lower-upper-middle (LUM) sharpener is simply an identity filter. In the case where $l=1$, a maximum amount of sharpening is achieved since $x^{\star}$ is being shifted to one of the extreme-order statistics $x_{(1)}$ or $x_{(N)}$.

Lower-upper-middle filter

To obtain an enhancing filter that is robust and can reject outliers, the philosophies of the lower-upper-middle (LUM) smoother and lower-upper-middle (LUM) sharpener must be combined. This leads us to the general lower-upper-middle (LUM) filter. A direct definition is as follows:
\begin{displaymath}
y^{\star} = \left\{
\begin{array}{ll} x_{(k)}, & \textrm{if...
...ar}$}\\ x^{\star}, & \textrm{otherwise}
\end{array} \right..
\end{displaymath} (16)

where $t_l$ is the midpoint between $x_{(l)}$ and $x_{(N-l+1)}$ defined in equation B-3, and $1 \le k \le l \le (N+1)/2$.


next up previous [pdf]

Next: Bibliography Up: Liu etc.: Structurally nonlinear Previous: Appendix A: Similarity-mean filter

2013-03-02