next up previous [pdf]

Next: Examples Up: Methodology Previous: Review of local correlation

Stacking using local correlation

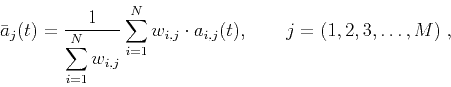
The problem of combining a collection of seismic traces into a single trace is commonly referred to as stacking in seismic data processing. This process is used to attenuate random noise and simultaneously amplify the coherent signal in the gather. Typically, the desired stacked trace is estimated by averaging traces from the CMP gather (Mayne, 1962):

\begin{displaymath}
\bar{a}_j(t) = \frac{1}{N}\displaystyle\sum_{i=1}^{N} a_{i,j}(t), \qquad j=(1,2,3,\dots,M) \;,
\end{displaymath} (8)

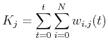
where $N$ is the fold of the stack and $a_{i,j}(t)$ is the sample value on trace $i$ from the $j$th CMP gather at two-way time $t$. Such a technique provides the optimal unbiased estimate of $\bar{a_j}(t)$. Robinson (1970) proposes weighted stacking of seismic data:
\begin{displaymath}
\bar{a}_j(t) = \frac{1}{\displaystyle\sum_{i=1}^{N} w_{i,j}...
...^{N} w_{i,j} \cdot a_{i,j}(t), \qquad j=(1,2,3,\dots,M) \;,
\end{displaymath} (9)

where $w_{i,j}$ denotes the weight of the $i$th trace from the $j$th CMP gather, which is determined by noise variances $w_{i,j}=1/\sigma^2_{i,j}$. However, it is difficult to estimate noise variances reliably in practice. Neelamani et al. (2006) use an iterative algorithm called ``leave me out'' (LMO) to estimate noise variances from data. The desired signal is assumed to be flat with constant amplitude across all the traces within a gather in the LMO method.

For using time-dependent smooth weights in the stacking process, we choose the local correlation coefficient from the previous section as weights to stack seismic data. We find that local correlation better characterizes local similarity between prestack and reference traces than the sliding-window method.

Consider the two noisy signals with Gaussian random noise but different noise levels in Figure 1c and 1d. The signals are derived from adding noise on convolution of the Ricker wavelet (Figure 1a) with synthetic reflectivity (Figure 1b). The distribution of noise in (Figure 1c) is $N(\mu ,\sigma )=N(0,10^{-6})$, where $\mu$ and $\sigma$ are mean and variance of noise, respectively. The distribution of noise in (Figure 1d) is $N(\mu ,\sigma )=N(0,0.07)$. The sliding-window correlation and local correlation between Figure 1c and Figure 1d are shown in Figure 1e and Figure 1f, respectively. Note that local correlation coefficients (Figure 1f) are smooth and better distinguish the thin layer, represented by the first two reflectivities in Figure 1b. In application to stacking, the prestack trace is analogous to Figure 1d with larger variance noise, and the reference trace is analogous to Figure 1c with smaller variance noise.

ricker ref signal1 signal2 wcorr simi
ricker,ref,signal1,signal2,wcorr,simi
Figure 1.
(a) Zero-phase Ricker wavelet. (b) Reflection coefficient. (c) Noisy signal with $N(\mu ,\sigma )=N(0,10^{-6})$. (d) Noisy signal with $N(\mu ,\sigma )=N(0,0.07)$. (e) Sliding-window correlation. (f) Local correlation.
[pdf] [pdf] [pdf] [pdf] [pdf] [pdf] [png] [png] [png] [png] [png] [png] [scons]

To implement seismic data stacking using local correlation, we first apply the equal-weight stack to the NMO-corrected CMP gather to obtain the reference trace. Then we compute the local correlation coefficients between the reference trace and the NMO-corrected CMP gather and apply soft thresholding (Donoho, 1995) to all local correlation coefficients. Finally, we apply the weighted stack to the CMP gather using local correlation to get the final stacked trace. Mathematically, stacking using the local correlation approach modifies equation 9 to

\begin{displaymath}
\bar{a}_j(t) = \frac{1}{K_j H_j(t)}\displaystyle\sum_{j=1}^{N} w_{i,j} \cdot a_{i,j}(t), \qquad j=(1,2,3,\dots,M) \;,
\end{displaymath} (10)


\begin{displaymath}
w_{i,j}(t) = \left \{ \begin{array}{ll}
\eta_{i,j}(t)-\var...
...\\
0, & \eta_{i,j}\le \varepsilon
\end{array} \right.\;,
\end{displaymath} (11)

where $\varepsilon$ is the threshold value, $K_j = \displaystyle\sum_{t=0}^{t}\sum_{i=0}^{N}w_{i,j}(t)$ is the sum of weights of the $j$th CMP gather, $H_j(t)$ is the number of samples with $w_{i,j}\cdot a_{i,j}(t)\ne0$ for a given two-way time, and $\eta_{i,j}(t)$ is the local correlation between the $i$th prestack trace from $j$th gather and the reference trace. The local correlation $\eta_{i,j}(t)$ can be computed using equations 6 and 7. The reference trace is derived from averaging all the traces of one CMP gather. Here we assume that the equal-weight stacked trace is close to the desired trace. Because the weights are a function of two-way traveltime and offset, recovery scalar $K_j$ has the same value for the same CMP gather. Meanwhile, the samples with $w_{i,j}(t)\cdot a_{i,j}\ne0$ at a given two-way time are assumed to be full noise or null value such as muting parts; we therefore use $H_j(t)$ to scale the stacked trace.

Changes occurring between equation 9 and equations 10 and 11 result from time-dependent smooth weights for the stack and application of thresholding to the weights. All local correlation coefficients below a specified threshold are discarded, and the rest, with values above the threshold, are included. We thus stack only those parts of prestack data whose similarity to the reference trace is comparatively large. Equations 10 and 11 implicitly estimate the noise variance by analyzing local cross-correlations between prestack trace and the reference trace. This operation can be understood as a nonlinear filter that enhances the coherency of events. We perform this operation for all gathers using this method to improve the stack profile.

When applied after angle-domain migration, normalization provided by soft thresholding is analogous to true-amplitude illumination compensation from the so-called Beylkin determinant (Audebert and Froidevaux, 2005; Albertin et al., 1999). Local correlation normalizes the image by the number of strongly illuminated angles in angle-domain CIGs.

In the following, we discuss the distinctions between seismic stacking using local correlation and other methods. Our method creates time-dependent smooth weights without depending on sliding windows, as compared to other weighted stacking methods such as statistically optimal stacking (Neelamani et al., 2006; Robinson, 1970) and the semblance method (Yilmaz, 2001). In contrast to smart stacking, proposed by (Rashed, 2008) and based on sign difference between sample point and the alpha-trimmed mean to remove frequency distortions, our method applies waveform similarity between prestack trace and mean to make the stacking selective.


next up previous [pdf]

Next: Examples Up: Methodology Previous: Review of local correlation

2013-03-02