 |
 |
 |
 | OC-seislet: seislet transform construction with differential offset continuation |  |
![[pdf]](icons/pdf.png) |
Next: Bibliography
Up: Liu and Fomel: OC-seislet
Previous: Conclusions
We thank BGP Americas for a partial financial support of this
work. We thank Tamas Nemeth, Mauricio Sacchi, Sandra
Tegtmeier-Last, and two anonymous reviewers for their constructive
comments and suggestions. This publication was authorized by the
Director, Bureau of Economic Geology, The University of Texas at
Austin.
Appendix
A
Review of differential offset continuation
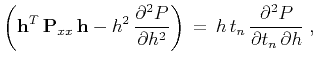
In this appendix, we review the theory of differential offset
continuation from Fomel (2003a,c). The partial
differential equation for offset continuation (differential azimuth
moveout) takes the form
 |
(13) |
where
is the seismic data in the
midpoint-offset-time domain,
is the time coordinate after the
normal moveout (NMO) correction,
denotes the transpose
of
, and
is the tensor of the
second-order midpoint derivatives.
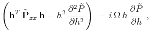
A particularly efficient implementation of offset continuation results
from a log-stretch transform of the time coordinate
(Bolondi et al., 1982), followed by a Fourier transform of the stretched
time axis. After these transforms, the offset-continuation equation
takes the form
 |
(14) |
where
is the dimensionless frequency corresponding to the
stretched time coordinate and
is the transformed data. As in other
frequency-space methods, equation A-2 can be applied
independently and in parallel on different frequency slices.
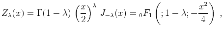
In the frequency-wavenumber domain, the extrapolation operator is
defined by solving an initial-value problem for
equation A-2. The analytical solution takes the form
 |
(15) |
where
is the double-Fourier-transformed
data,
,
is the special
function defined as
 |
(16) |
is the gamma function,
is the Bessel function,
and
is the confluent hypergeometric limit function (Petkovsek et al., 1996). The
wavenumber
in equation A-3 corresponds to the
midpoint
in the original data domain. In high-frequency
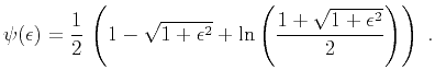
asymptotics, the offset-continuation operator takes the form
![$\displaystyle \Tilde{\Tilde{P}}(\mathbf{k},\mathbf{h}_2,\Omega) \approx \Tilde{...
...ga\,\psi\left(\frac{2 \mathbf{k} \cdot \mathbf{h}_1}{\Omega}\right)\right]}}\;,$](img68.png) |
(17) |
where
 |
(18) |
and
 |
(19) |
The phase function
defined in equation A-7
corresponds to the analogous term in the exact-log DMO and AMO
(Liner, 1990; Zhou et al., 1996; Biondi and Vlad, 2002).
 |
 |
 |
 | OC-seislet: seislet transform construction with differential offset continuation |  |
![[pdf]](icons/pdf.png) |
Next: Bibliography
Up: Liu and Fomel: OC-seislet
Previous: Conclusions
2013-03-02