 |
 |
 |
 | Accelerated plane-wave destruction |  |
![[pdf]](icons/pdf.png) |
Next: Bibliography
Up: Chen, Fomel & Lu:
Previous: Acknowledgments
If all the coefficients of
are polynomials of
,
equation 4 is also a polynomial of
,
and the plane-wave destruction equation becomes
in turn a polynomial equation of
.
The problem is to design a
points filter
with polynomial coefficients
such that the allpass system
can approximate
the phase-shift operator
.
Denoting the phase response of the system as
,
that is
,
the group delay of the system is
 |
(24) |
The maximally flat criteria designs a filter
with a smoothest phase response.
There are
unknown coefficients in
,
so we can add
flat constraints for the first
th order deviratives
of the phase response.
It becomes
(Zhang, 2009, equation 7)
 |
(25) |
which is equivalent to the following linear maximally flat conditions
(Thiran, 1971):
 |
(26) |
where
and
is the fractional delay of
or
.
In order to solve
from the above equations,
Thiran (1971) used an additional condition
,
which leads
to be a fractional function of
.
Differently from that, we use the following condition,
 |
(27) |
where
can be proved to be polynomials of
.
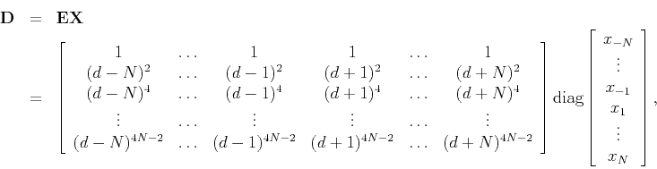
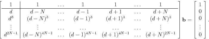
Let vector
.
Combining equations I-3 and I-4,
we rewrite them into the following matrix form:
The matrix on the left side, denoted as
,
can be split into four blocks
as shown above.
Following the lemma of matrix inversion,
![\begin{displaymath}
\tensor V^{-1}=\left[\begin{array}{cc}
(\tensor A-\tensor B\...
...\tensor C)^{-1}\tensor B\tensor D^{-1} \\
\end{array}\right],
\end{displaymath}](img124.png) |
(28) |
therefore the coefficients
![\begin{displaymath}
\mathbf b=\tensor V^{-1}[1,0,\dots,0]^\textrm T=
\left[\begi...
... A-\tensor B\tensor D^{-1}\tensor C)^{-1}
\end{array}\right].
\end{displaymath}](img125.png) |
(29) |
Let subindex
and
.
Submatrix
can be expressed as
so
.
Denoting
with elements
,
as
is a Vandermonde matrix,
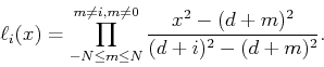
and Lagrange intepolating polynomials have the following relationship:
 |
(30) |
where
,
and
is the Lagrange polynomial related to the basis
,
 |
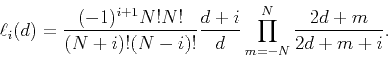
(31) |
Substituting the above equation,
and
into equation I-7,
we can prove equation I-7.
It follows that
![\begin{displaymath}[\tensor E^{-1}\tensor C]_i=d\ell_i(d),
\end{displaymath}](img141.png) |
(32) |
![\begin{displaymath}[\tensor D^{-1}\tensor C]_i=
[\tensor X^{-1}\tensor E^{-1}\tensor C]_i=
\frac{d}{d+i}\ell_i(d),
\end{displaymath}](img142.png) |
(33) |
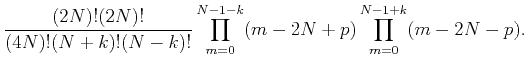
with
 |
(34) |
Thus hence
and
![\begin{displaymath}[\tensor A-\tensor B\tensor D^{-1}\tensor C]^{-1} =
\frac{(2N)!(2N)!}{(4N)!N!N!}
\prod_{m=N+1}^{2N}(m^2-p^2).
\end{displaymath}](img147.png) |
(36) |
It is the coefficient
, a
-th degree polynomial of
.
Substituting it into equation I-6,
the coefficients at
are expressed as
With the additional condition I-4 in
points approximation,
all the coefficients are polynomials of
of
-th degree.
Thus the plane-wave destruction equation 6
therefore is proved to be a polynomial equation of
-th degree.
 |
 |
 |
 | Accelerated plane-wave destruction |  |
![[pdf]](icons/pdf.png) |
Next: Bibliography
Up: Chen, Fomel & Lu:
Previous: Acknowledgments
2013-03-02