next up previous [pdf]

Next: Appendix B: Circular reflector Up: Fomel & Kazinnik: Nonhyperbolic Previous: Acknowledgments

Apendix A: Hyperbolic reflector

In this appendix, we reproduce the derivation of an analytical expression for reflection traveltime from a hyperbolic reflector in a homogeneous velocity model (Fomel and Stovas, 2010). Similar derivations apply to an elliptic reflector and were used previously in the theory of offset continuation (Stovas and Fomel, 1996; Fomel, 2003).

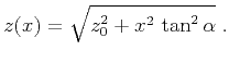
Consider the source point $ s$ and the receiver point $ r$ at the surface $ z=0$ above a 2-D constant-velocity medium and a hyperbolic reflector defined by the equation

$\displaystyle z(x) = \sqrt{z_0^2 + x^2 \tan^2{\alpha}}\;.$ (19)

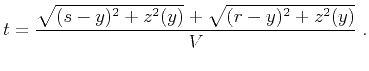
The reflection traveltime as a function of the reflection point location $ y$ is

$\displaystyle t = \frac{\sqrt{(s-y)^2 + z^2(y)} + \sqrt{(r-y)^2+z^2(y)}}{V}\;.$ (20)

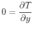
According to Fermat's principle, the traveltime should be stationary with respect to the reflection point $ y$ :
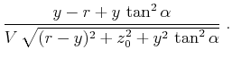
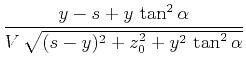
$\displaystyle 0 = \frac{\partial T}{\partial y}$ $\displaystyle =$ $\displaystyle \frac{y-s + y \tan^2{\alpha}}{V \sqrt{(s-y)^2 + z_0^2 + y^2 \tan^2{\alpha}}}$  
  $\displaystyle +$ $\displaystyle \frac{y-r + y \tan^2{\alpha}}{V \sqrt{(r-y)^2 + z_0^2 + y^2 \tan^2{\alpha}}}\;.$ (21)

Putting two terms in equation (O-3) on the different sides of the equation, squaring them, and reducing their difference to a common denominator, we arrive at the following quadratic equation with respect to $ y$ :
$\displaystyle y^2 (s+r) \tan^2{\alpha}$ $\displaystyle -$ $\displaystyle 2 y \left(s r \sin^2{\alpha} - z_0^2\right)$  
  $\displaystyle -$ $\displaystyle z_0^2 (s+r) \cos^2{\alpha} = 0\;.$ (22)

Only one of the two branches of the solution

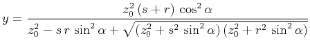
$\displaystyle y =
\frac{z_0^2 (s+r) \cos^2{\alpha}}{z_0^2 - s r \sin^2{\alpha} +
\sqrt{(z_0^2+s^2 \sin^2{\alpha}) (z_0^2+r^2 \sin^2{\alpha})}}
$

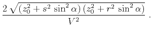
has physical meaning. Substituting this solution into equation (O-2), we obtain, after a number of algebraic simplifications,
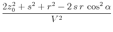
$\displaystyle t^2$ $\displaystyle =$ $\displaystyle \frac{2 z_0^2 + s^2 + r^2 - 2 s r \cos^2{\alpha}}{V^2}$  
  $\displaystyle +$ $\displaystyle \frac{2 \sqrt{(z_0^2+s^2 \sin^2{\alpha}) (z_0^2+r^2 \sin^2{\alpha})}}{V^2}\;.$ (23)

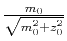
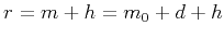
Making the variable change in equation (O-5) from $ s$ and $ r$ to midpoint and half-offset coordinates $ m$ and $ h$ according to $ s=m-h=m_0+d-h$ , $ r=m+h=m_0+d+h $ , we transform this equation to form (12), where the following correspondence between parameters is applied:
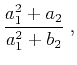
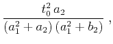
$\displaystyle z_0^2$ $\displaystyle =$ $\displaystyle \frac{t_0^2 a_2}{(a_1^2+a_2) (a_1^2+b_2)}\;,$ (24)
$\displaystyle m_0$ $\displaystyle =$ $\displaystyle \frac{t_0 a_1}{a_1^2+a_2}\;,$ (25)
$\displaystyle \sin^2{\alpha}$ $\displaystyle =$ $\displaystyle \frac{a_1^2 + a_2}{a_1^2 + b_2}\;,$ (26)
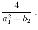
$\displaystyle V^2$ $\displaystyle =$ $\displaystyle \frac{4}{a_1^2 + b_2}\;.$ (27)

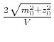
The inverse relationships are given by
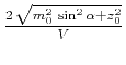
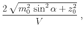
$\displaystyle t_0$ $\displaystyle =$ $\displaystyle \frac{2 \sqrt{m_0^2 \sin^2{\alpha} + z_0^2}}{V}\;,$ (28)
$\displaystyle a_1$ $\displaystyle =$ $\displaystyle \frac{2 m_0 \sin^2{\alpha}}{V \sqrt{m_0^2 \sin^2{\alpha} + z_0^2}}\;,$ (29)
$\displaystyle a_2$ $\displaystyle =$ $\displaystyle \frac{4 z_0^2 \sin^2{\alpha}}{V^2 \left(m_0^2 \sin^2{\alpha} + z_0^2\right)}\;,$ (30)
$\displaystyle b_2$ $\displaystyle =$ $\displaystyle \frac{4 \left(m_0^2 \sin^2{\alpha} \cos^2{\alpha}+z_0^2\right)}{V^2 \left(m_0^2 \sin^2{\alpha} + z_0^2\right)}\;.$ (31)

The connection with the multifocusing parameters is summarized in Table 1 for the general case and three special cases (a plane dipping reflector, a flat reflector, and a point diffractor). The first two special cases turn the nonhyperbolic CRS equation into the hyperbolic form (8). The last case turns it into the double-square-root form (13).

  $ t_0$ $ K_{NIP}$ $ K_N$ $ \sin{\beta}$
Hyperbolic reflector $ \frac{2 \sqrt{m_0^2 \sin^2{\alpha} + z_0^2}}{V}$ $ \frac{1}{\sqrt{m_0^2 \sin^2{\alpha} + z_0^2}}$ $ K_{NIP} \frac{z_0^2 \sin^2{\alpha}}{m_0^2 \sin^2{\alpha} \cos^2{\alpha}+z_0^2}$ $ \frac{m_0 \sin^2{\alpha}}{\sqrt{m_0^2 \sin^2{\alpha} + z_0^2}}$
Plane dipping reflector        
$ z_0=0$ $ \frac{2 m_0 \sin{\alpha}}{V}$ $ \frac{1}{m_0 \sin{\alpha}}$ 0 $ \sin{\alpha}$
Flat reflector        
$ \alpha=0$ $ \frac{2 z_0}{V}$ $ \frac{1}{z_0}$ 0 0
Point diffractor        
$ \alpha=\pi/2$ $ \frac{2 \sqrt{m_0^2 + z_0^2}}{V}$ $ \frac{1}{\sqrt{m_0^2 + z_0^2}}$ $ K_{NIP}$ $ \frac{m_0}{\sqrt{m_0^2 + z_0^2}}$

Table 1. Multifocusing parameters for a hyperbolic reflector in a homogeneous medium ($ V_0=V$ ). The general case and three special cases.


next up previous [pdf]

Next: Appendix B: Circular reflector Up: Fomel & Kazinnik: Nonhyperbolic Previous: Acknowledgments

2013-03-02