next up previous [pdf]

Next: Natural patterns Up: Homework 5 Previous: Prerequisites

Theory

Suppose that we use the gradient operator for data interpolation:

$\displaystyle \min\,\left\vert\nabla \mathbf{m}\right\vert^2\;.$ (1)

This approach roughly corresponds to minimizing the surface area and represents the behavior of a soap film or a thin rubber sheet.

The corresponding inverse model covariance operator is the negative Laplacian $ \mathbf{C}_m^{-1}=\nabla^T\,\nabla=-\nabla^2$ . The corresponding covariance operator corresponds to the Green's function $ G(\mathbf{x})$ that solves

$\displaystyle -\nabla^2 G = \delta(\mathbf{x}-\mathbf{x}_0)\;.$ (2)

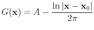
In 2-D, the Green's function has the form

$\displaystyle G(\mathbf{x}) = \displaystyle A - \frac{\ln \vert\mathbf{x}-\mathbf{x}_0\vert}{2\pi}$ (3)

with some constant $ A$ .

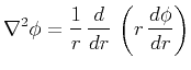
To derive equation (3), we can introduce polar coordinates around $ \mathbf{x}_0$ with the radius $ r= \vert\mathbf{x}-\mathbf{x}_0\vert$ and note that the Laplacian operator for a radially-symmetric function $ \phi(r)$ in polar coordinates takes the form

$\displaystyle \nabla^2 \phi = \displaystyle \frac{1}{r}\,\frac{d}{dr}\,\left(r\,\frac{d \phi}{dr}\right)$ (4)

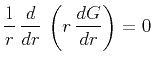
Away from the point $ \mathbf{x}_0$ , solving

$\displaystyle \frac{1}{r}\,\frac{d}{dr}\,\left(r\,\frac{d G}{dr}\right) = 0$ (5)

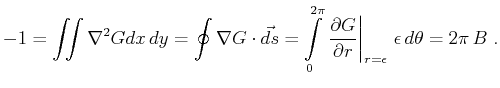
leads to $ G(r) = A + B\,\ln r$ . To find the constant $ B$ , we can integrate $ \nabla^2 G$ over a circle with some small radius $ \epsilon$ around the origin and apply the Green's theorem

$\displaystyle -1 = \iint \nabla^2 G dx\,dy = \oint \nabla G \cdot \vec{ds} = \i...
...partial G}{\partial r}\right\vert _{r=\epsilon}\,\epsilon\,d\theta = 2\pi\,B\;.$ (6)

Derive the model covariance function $ G(\mathbf{x})$ which corresponds to replacing equation (1) with equation

$\displaystyle \min\,\left\vert\nabla^2 \mathbf{m}\right\vert^2$ (7)

and approximates the behavior of a thin elastic plate.


next up previous [pdf]

Next: Natural patterns Up: Homework 5 Previous: Prerequisites

2022-11-02