next up previous [pdf]

Next: Time-shift angle decomposition for Up: Angle decomposition Previous: Angle decomposition

Space-shift angle decomposition for converted waves

We can transform the expressions % latex2html id marker 637
$\left( \ref{eqn:PmPh-a} \right)$- % latex2html id marker 639
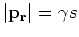
$\left( \ref{eqn:PmPh-b} \right)$ using the notations $\vert{ \bf p}_{ \bf s}\vert=s$ and $\vert{ \bf p}_{ \bf r}\vert=\gamma s$, where $\gamma ({ \bf m})$ is the $v_p/v_s$ ratio, and $ s({ \bf m})$ is the slowness associated with the incoming ray at every image point:
$\displaystyle \vert{ \bf p}_{ \bf h}\vert^2$ $\textstyle =$ $\displaystyle s^2 \left (1+\gamma ^2 -2\gamma \cos 2\theta \right)\;,$ (11)
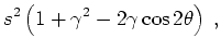
$\displaystyle \vert{ \bf p}_{ \bf m}\vert^2$ $\textstyle =$ $\displaystyle s^2 \left (1+\gamma ^2 +2\gamma \cos 2\theta \right)\;.$ (12)

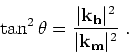
If we eliminate $\omega $ and make the notations $\vert{ \bf k}_{ \bf h}\vert=\vert{ \bf p}_{ \bf h}\vert/\omega $ and $\vert{ \bf k}_{ \bf m}\vert=\vert{ \bf p}_{ \bf m}\vert/\omega $, we obtain the expression (Sava and Fomel, 2005b)
\begin{displaymath}
\tan^2 \theta = \frac
{(1+\gamma )^2 \vert{ \bf k}_{ \bf h}\...
... m}\vert^2 - (1-\gamma )^2 \vert{ \bf k}_{ \bf h}\vert^2} \;,
\end{displaymath} (13)

that can be used for angle decomposition for converted waves after space-shift imaging condition. For PP reflections ($\gamma =1$), this expression reduces to
\begin{displaymath}
\tan^2 \theta = \frac{\vert{ \bf k}_{ \bf h}\vert^2}{\vert{ \bf k}_{ \bf m}\vert^2} \;.
\end{displaymath} (14)


next up previous [pdf]

Next: Time-shift angle decomposition for Up: Angle decomposition Previous: Angle decomposition

2008-11-26