 |
 |
 |
 | Elastic wave-mode separation for TTI media |  |
![[pdf]](icons/pdf.png) |
Next: Examples
Up: Yan and Sava: TTI
Previous: Wave-mode separation for symmetry
In order to separate all three modes--P, SV, and SH--in a 3D TI
medium, one needs to construct 3D separators. Dellinger (1991)
shows that P-waves can be separated from two shear modes by a
straightforward extension of the 2D algorithm. Indeed, for 3D TI
media, one can always obtain the P-mode by constructing P-wave separators
represented by the polarization vector
and then projecting the 3D elastic wavefields onto the vector
. The
P-wave polarization vector with components
is obtained by solving the 3D
Christoffel matrix (Aki and Richards, 2002; Tsvankin, 2005):
![$\displaystyle \left [ \mtrx{ G_{11}-\rho V^2 & G_{12} & G_{13}\ G_{12} & G_{22...
...23} & G_{33} -\rho V^2 } \right] \left [\mtrx{ U_x\ U_y\ U_z} \right] =0 .$](img96.png) |
(13) |
The notations in this equation have the same definitions as in equation 2.
For TTI media, the matrix
has the elements
When constructing shear mode separators, one faces an additional
complication: SV- and SH-waves have the same velocity along the
symmetry axis of a 3D TI medium, and this singularity prevents one
from obtaining polarization vectors for shear modes in this
particular direction by solving the Christoffel
equation (Tsvankin, 2005). In 3D TI media, the polarization of the
shear modes around the singular directions are non-linear and cannot
be characterized by a plane-wave solution. Consequently, constructing
3D global separators for fast and slow shear modes is difficult.
To mitigate the effects of the shear wave-mode singularity, I use
the mutual orthogonality among the P, SV, and SH modes depicted
in Figure 6. In this figure, vector
represents the
symmetry axis of a TTI medium, with
and
being the tilt
and azimuth of the symmetry axis, respectively. The wave vector
characterizes the propagation direction of a plane wave. Vectors
,
, and
symbolize the
compressional, and fast and slow shear polarization directions, respectively.
For TI media, plane waves propagate in symmetry planes, and the symmetry axis
and any wave vector
form a symmetry plane. For a plane
wave propagating in the direction
, the P-wave is polarized in
this symmetry plane and deviates from the vector
; the SV- and
SH-waves are polarized perpendicular to the P-mode, in and out of the
symmetry plane, respectively.
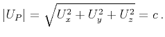
Using this mutual orthogonality among all three modes, I first
obtain the SH-wave polarization vector
by cross multiplying
vectors
and
, which ensures that the SH mode is
polarized orthogonal to symmetry planes:
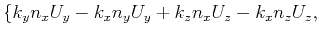
Then I calculate the SV polarization vector
by
cross multiplying polarization vectors P and SH modes, which ensures
the orthogonality between SV and P modes and SV and SH modes:
Here, the magnitude of the P-wave polarization vectors for a certain
wavenumber
is a constant:
 |
(21) |
This ensures that for a certain wavenumber, P-waves obtained by
projecting the elastic wavefields onto the polarization vectors are
uniformly scaled. For comparison, the magnitudes of all three modes
are respectively
where
is the polar angle of the propagating plane wave, i.e.,
the angle between vectors
and
.
Figure 7 shows the polarization
vectors of P-, SH-, and SV-modes computed
using equations 13, 20, and 21,
respectively. The P-wave polarization vectors in Figure 7(a)
all have the same magnitude, but the SV and SH polarization vectors
in Figures 7(c) and fig:polar3dS2 vary in magnitude. In the
symmetry axis direction, they become zero. The zero amplitude of the
shear modes in the symmetry axis direction is not an abrupt but a
continuous change over nearby propagation angles. Using separators
represented by solutions to equation 13 and
expressions 20 and 21 to filter the wavefields,
I obtain separated shear modes that are scaled differently than the
P-mode. For a certain wavenumber, the shear modes are scaled by
, with
being the polar angle, which increases from
zero in the symmetry axis to unity in the orthogonal propagation
directions. Therefore, the separated SV- and SH-waves have zero
amplitude in the symmetry axis direction, and the amplitudes of the
shear modes are just kinematically correct.
The components of the polarization vectors for P-, SV-, and SH-waves
can be transformed back to the space domain to construct spatial
filters for 3D heterogeneous TI media. For example, Figure 8
illustrates nine spatial filters transformed from the Cartesian
components of the polarization vectors shown
in Figure 7. All these filters can be
spatially varying when the medium is heterogeneous. Therefore, in
principle, wave-mode separation in 3D would perform well even for
models that have complex structures and arbitrary tilts and azimuths
of TI symmetry.
|
|---|
polar3d
Figure 6. A schematic showing the elastic wave-modes
polarization in a 3D TI medium. The three parallel planes represent
the isotropy planes of the medium. The vector
represents the
symmetry axis, which is orthogonal to the isotropy plane. The vector
is the propagation direction of a plane wave. The wave-modes P, SV,
and SH are polarized in the direction
,
,
and
, respectively. The three modes are polarized orthogonal
to each other.
|
|---|
|
|---|
|
|---|
polar3dP,polar3dS2,polar3dS1
Figure 7. The wave-mode polarization for P-, SH-, and SV-mode for a VTI medium
with parameters
km/s,
km/s,
, and
. The P-mode polarization is computed
using the 3D Christoffel equation, and SV and SH polarizations are
computed using Equations 21 and 20. Note that the SV- and
SH-wave polarization vectors have zero amplitude in the vertical
direction.
|
|---|
|
|---|
|
|---|
filters3d
Figure 8. The separation
filters
,
, and
for the P, SV, and SH modes for a VTI
medium. The corresponding wavenumber-domain polarization vectors are
shown in Figure 7. Note that the filter
for the SH mode is blank because the
component of the
polarization vector is zero. The zoomed views show
samples out
of the original
samples around the center of the filters.
|
|---|
|
|---|
 |
 |
 |
 | Elastic wave-mode separation for TTI media |  |
![[pdf]](icons/pdf.png) |
Next: Examples
Up: Yan and Sava: TTI
Previous: Wave-mode separation for symmetry
2013-08-29