 |
 |
 |
 | Noncausal
-
-
regularized nonstationary prediction filtering for random noise attenuation on 3D seismic data |  |
![[pdf]](icons/pdf.png) |
Next: Synthetic examples
Up: Methodology
Previous: The review of -
Two dimensional
-
NRNA only considers one space coordinate x. If we use
-
NRNA on 3D seismic cube, we usually apply
-
RNA in one space slice.
-
NRNA
reduces the effectiveness because the plane event in 3D cube is predictable along
different directions rather than only one direction. Therefore, we should develop
3D
-
-
NRNA to suppress random noise for 3D seismic data.
|
|---|
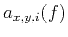
fig1
Figure 1. The
-
-
prediction filter. The trace
is predicted from circumjacent traces
(except itself
).
|
|---|
|
|---|
Next, we use Fig. 1 to illustrate the idea of
-
-
NRNA. The middle trace
is the one we want to predict. Trace
can be predicted from circumjacent traces
(except
itself
). The prediction process includes all different directions.
For example, if we use
to predict
, we can
estimate a corresponding coefficient using the described algorithm in the following.
-
-
NRNA uses all around traces to predict the middle trace. Therefore, the prediction uses more
information than
-
NRNA. For all the traces in 3D cube, similar to the trace
,
we can use circumjacent traces to predict them. Mathematically, we can write the prediction process as
 |
(4) |
where M and i are the number and index of circumjacent traces, respectively. In the case of Fig. 1,
M=24 and i is from 1 to 24. Note that
indicates the 24 circumjacent traces around
. Eq. 4 is the equations of noncausal regularized stationary autoregression.
Similarly to
-
NRNA, considerng the nonstationary case, we can obtain
 |
(5) |
where
is the space-varying coefficients, which means they have three free degrees,
space axis x, space axis y and shift axis i.
can be regarded as the
estimation of noise-free signal. However, the coefficients
are not
known. Once we obtain the coefficients, we can estimate the effective signal using
Eq. 5 Similar to
-
NRNA, we use shaping regularization to solve this ill-posed
problem. Here, we assume that the coefficients
-
-
RNA are
smooth along two space axes x and y, which is reasonable because the curved surface
event in 3D seismic data is locally plane. Therefore, we can obtain the following
least square problem with shaping regularization
![$\displaystyle \min_{a_{x,y,i}(f)}\vert\vert{{S}_{x,y}}(f)-\sum\limits_{i=-M,i\ne 0}^{M}{{{a}_{x,y,i}}(f){{S}_{x,y,i}}(f)}\vert\vert _{2}^{2}+R[{{a}_{x,y,i}}(f)],$](img31.png) |
(6) |
where R[.] denotes shaping regularization term which constrains coefficients
to be smooth along space axes. We use one coefficient with a given frequency and a given shift
(e.g., from
to
indicated by arrow in Fig. 1) to
explain the constraint in Eq. 6. This 3D cube of coefficient with a given frequency and a
given shift can be expressed as
, which is smooth along
with variables x and y. The smooth constraint of coefficients is the objective of shaping
regularization. Finally, we use Eq. 6 to obtain obtain the complex coefficients of
-
-
RNA, and use Eq. 5 to achieve the estimation of signal.
Transform-base methods can also be used for seismic noise attenuation (Ma and Plonka, 2010). Tang and Ma (1991)
proposed to total-variation-based curvelet shrinkage for 3D seismic data denoising
in order to suppress nonsmooth artifacts caused by the curvelet transform. Because the
-
-
NRNA method uses shaping regularization to solve the ill-posed inverse problem and is
complemented in frequency domain, it has higher computation efficiency than curvelet-based methods.
 |
 |
 |
 | Noncausal
-
-
regularized nonstationary prediction filtering for random noise attenuation on 3D seismic data |  |
![[pdf]](icons/pdf.png) |
Next: Synthetic examples
Up: Methodology
Previous: The review of -
2013-11-13